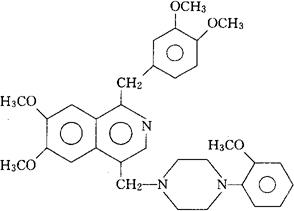
依齐维林
C32H37N3O5=543.66 CAS-95520-81-3 6,7-二甲氧基-4-[[4-(邻-甲氧基苯基)-1-哌嗪基]甲基]-1-藜芦基-异喹啉。 6,7-Dimethoxy-4-[[4-(o-methoxyphenyl)-1-piperazinyl]methyl-1-veratrylisoqulinolinequinoline. 1[(3,4-二甲氧苯基)甲基]-6,7-二甲氧基-4-[[4-(2-甲氧基苯基)-1-哌嗪基]甲基]-异喹啉。 1-[(3,4-Dimethoxyphenyl methyl]-6,7-dimethoxy4-[[4-(2-methoxyphenyl)-1-piperazinyl]methyl]-isoquinoline. 解痉药。 Elziverine. INN,USAN. 
|