网站首页  词典首页


请输入您要查询的字词:

 

字词 侧压浓缩机串联台数的计算
类别 中英文字词句释义及详细解析
释义 侧压浓缩机串联台数的计算

【说明】 根据上述侧压浓缩机的洗涤效果即可确定达到工艺要求时需要的侧压浓缩机串联的台数。

式中 n最多、n最小——分别为达到预期洗涤效果所需的侧压浓缩机最小台数和最多台数

其它同式1-6-60和式1-6-61

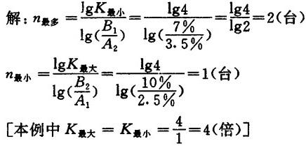
【例】 已知黑液残碱为4g/L,要求洗至残碱为1g/L,求进浆浓度和出浆浓度分别为2.5%~3.5%和7%~10%的侧压浓缩机的串联台数。

可见选一台或两台都可以。由于实际生产中进浆和出浆浓度时有波动,为保证洗涤效果,最好选用两台。

随便看

 

离鸟网收录3541549条中英文词条,其功能与新华字典、现代汉语词典、牛津高阶英汉词典等各类中英文词典类似,基本涵盖了全部常用中英文字词句的读音、释义及用法,是语言学习和写作的有利工具。

 

Copyright © 2004-2024 vtrois.com All Rights Reserved
更新时间:2026/5/25 16:48:12