网站首页  词典首页


请输入您要查询的字词:

 

字词 保角映射
类别 中英文字词句释义及详细解析
释义 保角映射

12.2.1 保角映射及其性质

双方单值连续的映射定理:设ω=f(z)是z平面域D内的单值连续函数,如果它又是单叶的,那么D的象Σ仍是一个域,而且反函数z=φ(ω)在Σ内连续。这种双方单值连续的映射称为拓扑映射或同胚映射。

保角映射及其充要条件:如果在域D内任一点z的邻域里函数ω=f(z)的映射满足条件:(i)伸缩率不变;(ii)旋转角不变,并保持角的定向,则称函数ω=f(z)的映射是区域D内的保角映射(保角变换)。ω=f(z)在区域D内是保角映射的充要条件,是f(z)在D内解析且导数f′(z)在域D内处处不等于零。

域D内保角映射f(z)的性质如下:

❶ D内任一无穷小圆周的象在相差一个高阶无穷小的程度内是圆周。

❷ D内两曲线的夹角映射后保持不变。

❸ D内任一域(包括D本身)的象是区域。

❹ 在D内的任一点z处,|f(z)|不能达到极大值,也不能达到极小值。

❺ D内任一点z处都各有一邻域,在此邻域中f(z)是单叶的。

12.2.2 分式线性映射及其性质

分式线性函数

所实现的映射称为分式线性映射(分式线性变换),其逆映射为

也是一个分式线性映射。规定z=-(c0)

对应ω=∞,z=∞(c0)对应ω=。当c=0时,z=∞对应ω=∞,那么分式线性映射确定了一个扩充z平面与扩充ω平面之间的一个一一对应关系。

分式线性映射具有如下性质:

❶ 在扩充平面上处处有保角性。

❷ 在分式线性变换下,圆周仍变为圆周。

❸ 关于圆或直线的对称点映射后仍保持对称性。

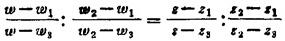
❹ 把z平面上任意三点z1,z2,z3分别映射到ω平面上的任意三点ω1,ω2,ω2的分式线性映射是唯一的,即

❺ 扩充z平面的任一圆都可以找到一个分式线性映射将它映射到扩充ω平面上的任意一圆。

❻ 在分式线性映射下,四点z1,z2,z3,z4的交比保持不变.(z1,z2,z3,z4的交比是)

12.2.3 简单分式线性映射

❶ 平移映射 ω=z+c(c为复常数)

把图形平移一个复数c。

❷ 伸缩与旋转映射

把模以原点为中心伸缩|A|倍,再绕原点O旋转一个角度argA。

把单位圆内(外)一点映射到圆外(内)一点(这两点同在一条过原点的射线上,且其模互为倒数),然后再把这个象点映射到它关于实轴的对称点上,

❹ 分式线性映射

(i)当a、b、c、d都是实数时,z平面的实轴Imz=0映射成ω平面的实轴Imω=0。

(ii)当ad-bc>0时,把上半z平面Imz>0映射到上半ω平面Imω>0。

(iii)当ad-bc<0时,把上半z平面Imz>0映射到下半ω平面Imω<0。

随便看

 

离鸟网收录3541549条中英文词条,其功能与新华字典、现代汉语词典、牛津高阶英汉词典等各类中英文词典类似,基本涵盖了全部常用中英文字词句的读音、释义及用法,是语言学习和写作的有利工具。

 

Copyright © 2004-2024 vtrois.com All Rights Reserved
更新时间:2026/4/8 18:24:09