网站首页  词典首页


请输入您要查询的字词:

 

字词 系统分析
类别 中英文字词句释义及详细解析
释义

系统分析system analysis

见系统工程。


系统分析xitong fenxisystems analysis

从系统的观点出发,对事物进行分析或综合,找出各种可行方案以供决策者进行选择的方法性科学。系统分析也称“系统科学”(Systems Science)或“系统工程”(Sy-stems Engineering)是跨越自然科学和社会科学各个领域,研究关系复杂、变量众多、结构庞大的系统在各种约束条件下的合理化或最优化方案的科学。当称系统科学时,它侧重于研究系统的概念、一般系统论、系统方法论等;当称系统工程时,它侧重于运用系统理论、系统分析方法研究系统的工程实施与运行控制;而称系统分析时,侧重于研究系统的分析方法、定量计算及最优化技术等。
特点 把复杂的研究对象看作由相互作用、相互依赖的若干组成部分结合而成的,具有特定功能的系统,从整体上对它进行全面、综合的研究。在研究过程中,并不排斥问题的复杂性,这与传统的科学研究方法,把一个复杂的事物分割成若干部分,在一定的条件下分别进行试验,孤立地、静止地进行分析全然不同。
基本原理 包含两方面内容:一是应遵循的原则,如全局性(整体性或系统性)原则,即组成系统的各个单元或子系统都有各自的属性和利益。在分析问题时必须有全局观点,只有全局最优才算最优;综合性原则,即系统本身是一个复杂的综合体。研究时应综合考虑技术的和社会的各个方面, 同时还要综合利用各门学科的知识和技术;关联性原则, 是研究系统时,既要看到当前的状态,又要了解过去的变化及预测未来,既要注意系统内部各单元的关系,还要注意系统与环境的条件关系,包括直接的和间接的关系;合理性原则, 即要使系统有最优的效果, 以最小的输入耗费取得最大的输出效益。在设计或改进系统时,应使系统在整体上最优。当理论上存在最优,而实践上难以达到时,往往求出满意解或合理解效果会更好;科学性原则,即系统的分析和运行控制应客观、定量和精确可靠。二是方法论,指正确的思考程序和工作步骤。比较起来,系统分析的原则是本质的,方法是从属的。
主要内容 各种系统的规划、研究、设计、制造、试验和使用。它涉及到规划论、库存论、控制论、信息论、决策论、排队论以及统筹方法等,其理论基础是运筹学、图论、概率论、统计学、模糊数学、计算机科学、模拟技术以及经济学、哲学、心理学等其它社会科学。系统分析的主要工具是电子计算机。由于系统问题的复杂性和变量多,难于直接对系统本身进行分析或试验,常常要采用与系统相似的模型。用网络图描述系统的结构和关系,称为网络模型;用数学方程式描述系统的结构和关系,称为数学模型;用计算机语言模拟系统及其运行,称为计算机模拟模型;用逻辑框图形式表示系统分析和决策过程,则称为Delta (活动时间逻辑决策)图模型。
发展简况 系统分析的功用在于运用已有的科学定理、定律、方法和技术等为决策者提供解决系统问题的各种可以选择的方案和策略,以便作出最佳决策。它产生于本世纪30年代末,40年代初,首先用于军事方面。60年代后期开始用于民用工业生产和管理,70年代进入解决各种复杂大系统问题阶段,应用范围相当广泛。在农业方面,系统分析有助于实现农业生产管理的现代化,有助于推动农业现代科学技术的发展。农业生产本身是一个庞大的系统,农业气象也可以看作一个复杂的系统,同时它也是生态系统中的子系统。它们都可以用系统分析的方法进行研究。许多农业气象模式的建立都需要从系统分析角度出发,都与“土壤一植物一大气系统”有关。农业气象中的“源”和“库”则涉及到库存论,用库存论可以得出最佳的灌溉期和灌溉量。辐射平衡、热量平衡、水分平衡以及生态平衡问题, 可以借用“投入产出”综合平衡模型来计算分析。作物品种和农业技术措施的选用、作物种植比例的合理安排以及农业气候资源的合理利用,可以用决策论和规划论来解决。系统分析作为一门新兴的边缘学科,为农业气象研究开拓了新的道路。


系统分析system analysis

一种以系统为对象,进行定性和定量的理论分析或实验研究,为系统综合和系统协调提供依据的研究方法。它是一门综合运用运筹学、控制论、信息论、概率论及统计学、图论、经济学、计算机科学的边缘学科。20世纪60年代开始应用于害虫管理。
系统属性
系统是指相互依存的若干事物结合成的具有特定功能的有机整体。它具有可测性、可控性、稳定性、最优控制与系统最优化等属性。
可测性 通过对系统的某些数量特征进行测量、判断,以了解系统状态,作为控制一个系统的基础。因此,须知道对系统的哪些特征进行测量,才能确定系统的全部状态,设系统的方程为:



式中 X为状态向量; U为输入向量;Y为输出向量;A、B、C、为矩阵;
如果在时刻t的状态(t), 都可通过由一个有限时间间隔[τ、t],(τ可控性 了解系统状态后,为使系统达到一定目的,还须加以控制。为把系统控制到预定的目的,就需要知道选哪些控制变量方可把系统引向预定目的,这就是可控性问题。若有一无约束控制信号,在有限的时间间隔t0≤t≤t1内,能使t0时的状态转移到任意终止时t1的状态,则称方程所描述的系统在t=t0时是可控的; 若在每个状态都可控,则称该系统是完全可控的。
稳定性 随着时间推移系统总停留在某一平衡状态,这时X=O。如果一个系统在平衡态时,当它受到外部干扰从平衡态变动,仍具有恢复原状态的能力,则称此系统在此平衡状态是稳定的。
最优控制与系统的最优化 设系统的状态方程为:X(t)=f[(t), U(t), t], 若寻找一个输入向量U(t)=g[(t), t]满足以上方程,而使X(t)和预定希望的状态X(t)在一定准则下最接近,则称为最优控制。即使系统行为达到期望行为的输入的最优化。而系统的最优化就是求系统结构的最优化,也就是解极值问题,即求某一乏函的极大或极小值:


[(t), (t), t] dt=min(或max)


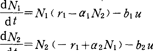
式中 φ是衡量系统性能的函数。这样,系统的最优化就是使系统的某些经济指标、性能指标或参数指标达到最大或最小。现以一个最简单的捕食者-猎物系统为例,两种昆虫种群密度分别为N1(害虫) 与N2(天敌),这是一个相克过程,在一定条件下,N1与N2随时间变化而按下列规律变动:



式中 r1、r2、α1、α2为常数。这一组方程实为洛特卡—沃特拉捕食者—猎物系统数学模型。如果在上述两个种群中加进农药因素,则其数量将按下列方程变化:



式中 b1、b2为正的常数,u为控制输入量(即农药量)。这里值得考虑的是在给定时间内,如何使N1达到最少,而N2尽可能大。所以这是一个应用系统分析的例子。
系统分析方法
有权函数、状态变量描述、多级递阶控制、结构模型解析4种方法。
权函数(或传递函数)法 经典的系统分析方法,即将系统的输入和输出的关系通过传递函数G(S)表示。这种方法称为系统的外描述。因G(S)所建立的系统输入与输出关系不能表明系统内部结构。即:

Y(S)=G(S)U(S)


式中 Y(S)是输出的拉氏(Laplace)变换,U(S)是输入的拉氏变换。这方法即所谓“黑箱理论”(图1)。即把不清楚内部结构的对象看成黑箱,外部对于该对象的作用看成输入,而该对象对于外部作用的响应看成输出。例如,可把某一生态系统看成一黑箱(图2),通过研究任何一黑箱的输入和输出的关系,即使不知这个黑箱的组成成分,亦能按照输入和输出的关系预测黑箱的行为。这是控制论常用的方法。这样,系统可看成是输入空间到输出空间的映射;
(t)=〔X(t)〕
系统可以呈线性的,亦可以呈非线性的,若具有:
S[λ11(t)+λ22(t)]
=λ1S [X1(t)]+λ2S[2(t)]
的性质,称为线性系统(λ1、λ2为常数)。否则,称为非线性系统。系统又可分非时变系统和时变系统。若输入有时滞,输出亦有同样的时滞,并无其他影响,则



则为时变系统。若系统随时间而变化时,则称动态系统。描述动态系统的数学模型称为动态模型。系统还可分为连续时间系统与离散时间系统。对连续时间系统用微分方程来描述。其线性系统方程为:



式中 A为n×n矩阵;B为n×m矩阵;C为p×n矩阵。其非线性系统方程为:



对离散时间系统用差分方程描述,其线性系统方程为:



其非线性系统方程为:




图1“黑箱理论”



图 2 由三级组织层次构成的生态系统的结构和过程,被视为一组有等级的“黑箱”


(仿E.P.Odum)


状态变量描述法 系统的状态空间描述多用这种方法,以便对系统的内部联系进行分析,又称为系统的内描述(图3)。系统包括有:



图3 状态变量描述法示意图


由于同样的刺激产生多种反应,这种反应除生物体的行为特征瞬间所受的刺激数值外,还受某些历史作用的影响。状态的概念就是表示生物体的行为对历史的依赖性。例如使用同一种农药防治棉铃虫幼虫种群(Nt),由于种群的年龄不同,杀虫效果有不同,若均为1~2龄幼虫种群,杀虫效率则高;若全为老龄幼虫,则杀虫效率低。其中农药即为输入U(t),棉铃虫幼虫种群年龄即为状态变量X(t),用药后剩余的虫口即为输出Y(t)。状态概念的应用就是要构成一个物体的状态空间的描述。而状态是用状态变量描述的。对于状态空间的描述:在离散情况下为:



在连续情况下为:



多级递阶控制法 广泛应用于大规模生产系统的自动控制、管理信息系统、农业生态系统管理的最优设计等,即大系统的分解与协调。将处于同一级地位的各子系统相对分离开来,并使之各自按其最优化方式运转。然后,再把这些子系统统一规划,使之协调起来,最后达到全局和整体上的最优化。只有每个子系统的方程和目标函数都不受其他子系统的状态变量及控制变量影响时,才能把大系统分解成多个子系统。每一步递推过程都必须把分解与协调交错进行,分解时必须改变子系统的方程和目标函数;协调时,主要有两个原则:平衡原则与预估原则(图4):


图4 多级递阶控制结构示意图


结构模型解析法(ISM) 系统地、反复地应用图论概念,将所研究的系统表示成一种一组元素集合之间有着紧密衔接关系的复杂有向图。其目的是把不清楚的、粗糙的构思模型变换为可见的、易确定的、有用的结构模型。其过程如图5:



图5 结构模型解析法示意图


首先,根据情况确定应包括的元素集合S和各元素中每两个之间的从属关系R;其次,由S,R求出原始结构图D或其伴随矩阵A;第三,“嵌入”:根据A算出可达矩阵M,Ri和前项集合ai,并求出递阶结构的元素集合SM;第四“分级”:从M算出可达集合。最后,“抽取”:将可达矩阵移位分块,得出递阶结构的分块可达矩阵MH,由MH转换成递阶结构图DH。
灵敏度分析
系统模型的参数在整个系统中是可以改变的,通过灵敏度分析变动系统中的参数,就可检验出各个参数对系统输出的贡献大小。此结果可应用于确定未来的研究方向,并能明确提供研究项目,安排先后次序。如果结合经济效益指标或性能指标等进行动态分析,即可获得对该系统的最优控制方案。
组建系统模型的步骤
通常在组建系统模型时,有6个逻辑步骤: ❶确定模拟对象,即明确研究目标。
❷应用系统、环境两分法原理确定系统结构,即划出系统的边界。首先确定与系统有关的分量组成系统结构,然后将其余部分都归纳为它的环境。这样设立系统的边界就意味存在着包围系统的外部环境。这对系统在某个过程中的约束条件的形成有直接关系。
❸建立系统的数学模型: 首先将每个分量从系统中孤立出来研究,建立各个分量的模型,然后根据系统观点,将分量模型,按照各分量之间相互作用的约束条件连结起来构成系统模型。
❹模型的有效性检验: 即检验组建的系统模型是否符合客观实际,如果不符,还需进行修改。
❺系统的灵敏度分析。
❻系统的模拟和控制。

系统分析systems analysis

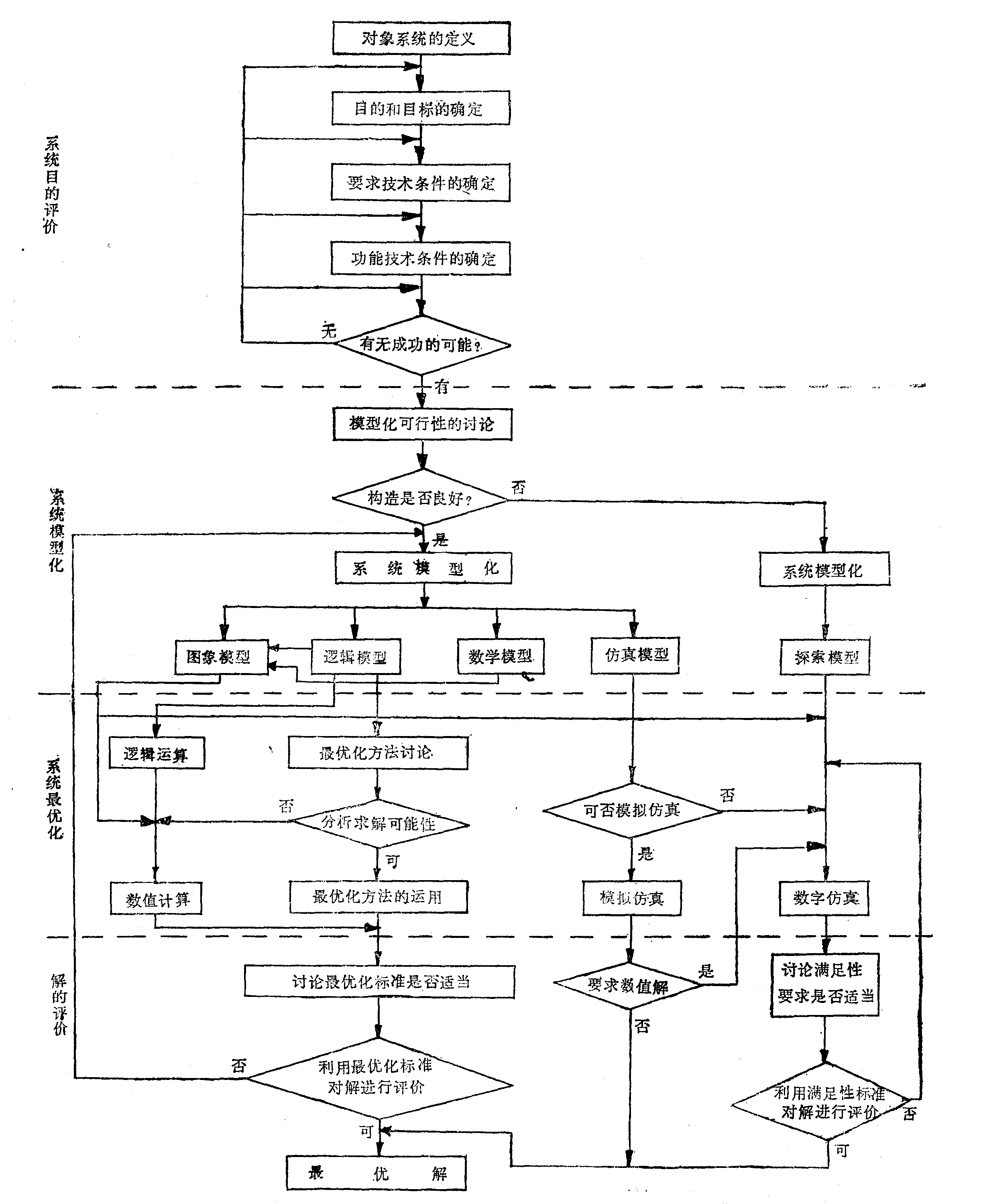
从系统整体考虑,收集关键信息,通过建立模型,对系统的结构、功能和行为特征进行剖析的方法。系统分析的突出特点是自始至终强调研究对象的系统性,注重对象的各种内外联系,其目的在于解释系统现象、辨识系统内在特性、预测系统发展状况和对系统进行优化调控。系统分析是对大量信息进行综合处理、获得系统优化调控方案的一个必要步骤,是解决复杂问题的一种基本途径。杰弗斯(J.Jeffers) 曾将系统分析的全过程归纳为一个与决策有关的多步循环框图(见图)。


系统分析过程框图


系统分析方法的运用可追溯到牛顿1687年对太阳系中行星运行轨道的分析。18世纪末至19世纪,拉格朗日和哈密顿在数学上发展了系统分析方法。20世纪40年代,贝塔朗菲(K.V. Bertalaffy) 把系统分析方法上升到理论并率先应用于生命系统。第二次世界大战以来,随着科学技术、经济文化的发展,人们愈来愈多地接触到工业系统、管理系统、军事系统等大系统,对系统进行解释、预测和实现调控,传统的方法已不再适用,于是,系统分析得到迅速发展。20世纪50年代美国兰德公司创立的兰德型系统分析对研究军用卫星和洲际导弹的战略决策起了重大作用。1969年,系统分析又为阿波罗登月计划作出贡献。在此期间,计算机的普及和运筹学的发展,对系统分析起了很大的推动作用。系统分析的理论与方法应用于生态学研究,形成了系统生态学。1838年比利时数学生物学家弗胡斯特(P.F.Verhulst) 把马尔萨斯的生物总数增长律模型改造成著名的逻辑斯蒂模型。此后,洛特卡(A.J. Lotka) 和沃尔泰勒(V. Volterra) 建立了捕食者一被捕食者的种间关系模型。1964年开始的“国际生物学计划”(IBP)和1971年开始的“人与生物圈”(MAB)国际协作项目中,系统分析被广泛应用。系统分析在农业科学研究与农业生产中也得到成功的应用,如作物生长模拟、作物环境生产潜力分析、有害生物种群控制、森林最佳砍伐方案的制定、草场管理、农业区划、农业发展预测等。
系统分析的一般步骤可归纳为:❶明确研究对象。确定系统分析的目的、要求和分析内容;
❷确定系统边界。按舍次留主,同类合并原则划分系统组分,明确组分间关系和系统的输入与输出;
❸提出解决问题的方案;
❹建立合适的系统模型;
❺对模型进行校正、检验及敏感性分析;
❻进行模型试验与分析;
❼根据一定的评价标准分析结果。
在生态学中常用的数学模型有多种: ❶根据模型与时间的关系可分为动态模型和静态模型。其主要区别是模型中是否含有时间变量。当分析问题考虑时间变化时,应用动态模型,模型运行结果可表现对象的动态特征。动态模型常用于模拟,又称“仿真”,如作物生长模拟,种群数量变动模拟,群落演替模型,生态系统能流、物流动态模型等。当分析问题不考虑时间变化时,可采用静态模型,如特定时期内的作物布局、农田区划等;
❷根据模型是否反映对象的随机过程,可分为确定性模型和随机性模型。随机性模型的参数是具有一定统计性质的随机数,或者参数本身就是一种机率值,而确定性模型的参数在条件一定时是一个确定值,如对天气过程、种群个体死亡过程、群落演替过程等具有随机过程特征的模拟,都可采用随机模型进行分析;
❸根据模型中数学方程建立的基础,可分为描述性模型和解释性模型。仅以系统输入、输出及系统表现为依据而建立的模型为描述性模型,如回归分析、聚类分析、主元分析等。由于描述性模型不涉及系统内部作用机理,可称为黑箱模型,如作物产量与气象条件的多元回归模型,不同农业区的数值聚类模型。以系统结构与功能的理论和知识为基础,并在模型中得到反映的称为解释性模型或白箱模型,如根据土壤水分扩散和流动规律及作物吸水和蒸腾规律建立的土壤水分动态模型。在复杂的生态学模型中,通常只在重点层次采用解释性方法建模,在一般层次则采用描述性方法建模,这种模型又可称为灰箱模型。
❹根据模型所采用的具体数学形式,可分为微分模型、差分模型、矩阵模型,以及运筹学中的线性规划模型、动态规划模型、库存论模型。排队论模型等。当分析对象的组分较多时,可选用矩阵模型或其特殊类型的马尔柯夫模型。对复杂系统进行优化决策分析时,可选用运筹学中的有关模型。当问题涉及地域和时序复杂关系时,可采用网络模型,对社会经济问题常采用投入产出模型。
下面以研究与钾元素循环平衡有关的农场作物布局问题为例进行说明。某农场土地面积S公顷,安排粮食作物面积x1公顷,饲料作物面积x2公顷,粮食作物地每公顷每年可提供含a1千克钾的饲料给牲畜,饲料地上通过饲养的牲畜平均每年每公顷可提供含a2千克钾的粪便给粮食作物地。粮食作物地每年可得到化学肥料钾素b1千克,饲料地上通过化学肥料钾和牲畜粪便补充钾其总量为b2千克。粮食作物地每年每公顷产含c1千克钾的粮食d1千克出售,售价每千克p1元,饲料作物地平均每年每公顷出售含c2千克钾的肉类d2千克,每千克售价p2元。求在维持土壤钾素平衡条件下经济效益最佳的作物布局。
为此,可建立以下线性规划模型:
目标函数 Z=p1d1x1+p2d2x2求极大约束条件


这个模型没有时间参数,因此是一个静态模型,模型系数是调查后获得的一个确定值,因此又是一个确定性模型。在这个模型中,两类作物地之间的钾素流动是解释性的,而把粮食作物或饲料作物与土壤的养分交换看作是黑箱。


农场粮食作物地(x1)与饲料作物地(x2)的钾流


假如将图中各项意义改变一下,x1、x2为钾素的两个库,a1为x1单位库存在单位时间内从x1流向x2的钾量; a1为x2单位库存在单位时间内从x2流向x1的钾量; c1为x1单位库存在单位时间内从x1流向系统外的钾量; c2为x2单位库存在单位时间内从x2流向系统外的钾量。x1为粮食作物地连同作物体中的钾素的库存(千克),x2为饲料作物地连同作物及牲畜体中钾素的库存(千克),b1和b2分别为系统外向x1和x2输入钾素的速度(千克/天)。则这个系统的钾素流动模型是


这是一个含有时间变量(t)的动态的微分方程模型。若系数a1a2等是用随机函数表达的一个统计结果,则这个模型同时也是一个随机模型。由于这个模型还可以写成矩阵形式,

故它又是一个矩阵模型。
模型能否正确地反映客观对象,依赖于第一手材料的准确性和思维认识的正确性。错误的参数、错误的关系式所构成的模型,只能得到错误的结论。
数学模型通常都要转换成计算机程序。系统模型的计算机程序编制好以后,还需要逐步修正,并对校正后的运行结果与真实系统进行对照、检验,这时模型才能在一定范围内代替实际系统,接受各种试验与分析。如了解初始状态变化的结果,考察系统对各种输入、输出变化的敏感性,探明系统参数改变或结构变化的影响,分析系统的稳定性,寻找最优调控方案,预测系统发展等。

系统分析system analysis

应用多种学科知识,在定量计算和分析的基础上结合成本效益,为选择具有特定目标的多种方案提供决策的一种方法。其工作步骤如下:
❶弄清楚要解决什么问题,明确要达到什么目标;
❷收集数据并找出其相互关系,制定解决问题的各种可行方案;
❸建立数学模型,并用来观测每个可行方案的结果,借以评价这些方案;
❹按模型所得各种方案的结果,比较其利弊得失和成本效益,再考虑各种无法用数量表示的政治、道德、士气等因素,进行综合评价,选择最优方案;
❺通过试验或模拟方法,验证所选定的方案,如检验不满意,可按上述步骤反复进行,直至决策者满意为止。

系统分析

系统分析xitong fenxi

一种先将溶液中可能共存的离子按一定顺序分离出来,再依次进行鉴定的定性分析方法。在进行系统分析时,通常都是先用几种试剂依次将性质相似的离子沉淀分离出来成为几个组,再将每一组离子进一步分离鉴定。这种将离子分离成若干组的试剂称为组试剂,组试剂通常是沉淀剂。系统分析主要应用于溶液中阳离子的全分析,因为可共存的阳离子种类较多,互相干扰,不易直接分别分析 (参见“分别分析”),而将它们分离成若干组后,每组所含阳离子种类较少,互相干扰较少,再进行鉴定则较为容易。利用系统分析的原理还可以初步确定未知试液中可能存在离子的大致范围。例如,加入某种组试剂后,若无任何沉淀产生,则说明该组离子均不存在,从而缩小了定性分析的范围。
由于实际样品中各组分含量相差很大,沉淀分离时共沉淀现象严重,使系统分析在定性分析中的应用受到限制。同时仪器分析法在定性分析方面的巨大进步也使系统分析的实用意义大为降低。但系统分析在教学中仍有着重要的意义,它可使学生从定性分析的角度系统地复习和运用无机化学知识,又可通过实验训练和提高学生分析问题和解决问题的能力。在定性分析教学中广泛应用的阳离子系统分析法是硫化氢系统分析法和两酸两碱系统分析法。

☚ 焰色反应   硫化氢系统分析法 ☛

系统分析

美国兰德公司于1950年首先提出。通过对系统进行分析、综合选择最优方案的数学和技术手段。可以在不确定的情况下,对问题进行充分的调查来寻找其目标,并通过各种手段对各种可行性方案进行系统的定性和定量分析,以在复杂的问题中寻求最佳决策。

系统分析

从系统的观点出发对事物进行分析或综合,找出各种可行方案,使决策者能从中选出最优方案的方法。

系统分析systematic analysis

是按一定的步骤和顺序,将离子加以分组分离,然后进行鉴定的方法。在系统分析中,首先将几种试液中性质相似的离子分为若干组,然后在每一组中用适当的反应鉴定某种离子是否存在。

系统分析

系统分析

1.涵义
系统分析作为一种提供科学决策的方法,它的应用范围已从早期的武器系统扩展到现代企业经营管理系统,被企业用作经营管理的决策工具。特别是随着应用数学的发展与深化,以及电子计算机日新月异的扩展功能,使系统分析发展到一个新的水平,它的应用范围日益扩大,目前仍在发展中。关于“系统分析”的概念至今还没有形成一个比较完整和严谨的科学定义。一种广义的解释认为系统分析就是系统工程,即把系统分析作为系统工程的同义语;狭义的解释认为系统分析是系统工程的一项程序,是优化分析的一项基本方法。显然,无论采用那种解释都可看出它的重要性,它既可作为系统工程的一项重要程序为其后续程序奠定基础,又可单独使用作为决策工具。
综上两种观点,所谓系统分析,就是在解决或处理系统的基本问题时,按照系统思想理论,应用科学的分析工具和方法,在确定或不确定的情况下,就全部问题,找出其合理目标和各种可行方案,从而帮助决策者就复杂问题进行最佳抉择。简单地说,系统分析就是对待特定问题,利用数据资料,运用有关管理科学的技术和方法,协助决策者选择的一种决策工具。
2.作用
系统分析方法是用来解决复杂问题,对复杂系统进行分析而设计的。因此系统分析方法对于研究经济系统的许多问题,尤其对于研究经济管理问题是非常重要的。但系统分析不同于一般的技术经济分析,它是从系统的总体最优化出发,对系统进行定性和定量分析。它不仅分析技术经济方面的有关问题,而且还要分析政策、组织体制、信息、物流等各方面的问题。系统分析没有特定的技术方法,它随分析对象和问题的不同而不同。系统分析是一个有目的有步骤的探索和分析过程。即: 为了给决策者提供直接判断和决定最优系统方案所需的信息和资料。系统分析人员使用科学的分析工具和方法,对系统的目的、功能、环境、费用、效益等进行充分的调查研究,并收集、分析和处理有关的资料和数据,据此建立若干替代方案和必要的模型,进行模拟试验;把试验、分析、计算的各种结果同早先制订的计划进行分析、比较和评价,最后整理成完整、正确与可行的综合资料,作为决策者选择最优系统方案的主要依据。
3.系统分析的要素
系统分析的要素,亦即系统分析的主要项目,包括目的、可行方案、效益、模型、评价标准等。
(1) 目的。目的的确定不仅是建立系统的依据,也是系统分析的出发点,明确目的对系统分析人员来说是极其重要的工作。如果目的不明确或确定的目标不是决策者所期望达到的目的,以后无论怎样分析,也不会取得正确的结果。所以对系统进行分析时,首先必须明确所要分析的目的和目标是什么?其次还要搞清分析对象的构成、范围和功能等,这样才能为今后的分析工作奠定良好的基础。
(2)可行方案。所谓可行方案,是指为达到某一目的时,所采取的各种手段和措施。这些手段和措施在系统分析中称为可行方案。拟定各种可行方案是系统分析的基础。一般情况下,实现某一目的,可采用多种手段,在系统分析中,这些手段也称为可行方案或替换方案。系统分析就是针对被分析的问题的性质,尽量列举各种可行方案,再从需求方面研究各个方案,并且估计它可能产生的结果,以利于分析和择优选择。
(3)费用与效益。何谓费用,是指用于方案实施的实际支出。所谓效益,是指达到目的时所取得的成果。建立任何一个系统,都需要一定的投资费用,而系统建成后就可以获取一定的效益,费用与效益是不可分离的两个要素。费用与效益可以折合成货币的形态进行比较。比较时,效益大于费用的设计方案是可取的,反之是不可取的。
(4)模型。模型是描述实体系统的映像,是描述对象和过程在某一方面的素质属性,它是对客观事物的一种抽象描述。它可将复杂的问题化为易于处理的形式。根据需要,可以通过模型来预测各个可行方案的性能、费用和效益,以利各种可行方案的分析比较。模型可将复杂的问题化为易于处理的形式,同时还可以用简便的方式,在决策之前即可预测出它的结果。因此,模型是系统分析的主要工具,模型的建立是系统分析过程中的重要环节。
(5)评价标准。衡量可行方案的优劣指标就是评价标准。评价标准一般根据系统的具体情况而定。一般费用(成本)和效益的比较可作为评价各方案的基本手段。评价标准是通过一组指标体系来建立的。管理系统常用的指标有: 劳动生产率指标、成本指标、时间指标、质量和品种改善指标、劳动条件改善指标以及特定效益指标等。所谓指标最优应表现在三个方面。
❶用最少的消耗、取得最大的效果;
❷用相同的消耗,取得较多的效果;
❸用最少的消耗,取得相同的效果。

☚ 系统工程方法的本质和特征   系统分析的原则 ☛
系统分析

系统分析

指有目的、有步骤地探索和分析政治、经济、技术和管理等各种系统可行的方案的过程。为了给决策者提供直接判断和决定最优系统方案所需的信息和资料,系统分析人员使用科学的分析工具和方法,对系统的目的、功能、环境、费用、效益等进行充分的调查研究,并收集、分析和处理有关的资料和数据,据此建立若干替代方案和必要的模型,进行仿真试验;把试验、分析、计算的各种结果同早先制订的计划进行比较和评价,最后整理成完整、正确与可行的综合资料,作为决策者的选择最优系统方案的主要依据。系统分析不同于一般的技术经济分析,它必须从系统的总体最优出发,采用各种分析工具和方法,对系统进行定性的和定量的分析。它不仅分析技术经济方面的有关问题,而且还分析包括政策方面、组织体制方面、信息方面、物流方面等各个方面的问题。系统分析没有一组特定的技术方法,因为系统分析方法必须随着分析对象的不同,分析问题的不同而不同。实践证明,要最优地进行系统设计,对系统有关的重大问题进行正确的决策,其关键步骤就是系统分析。

☚ 系统工程   计划评审技术 ☛

系统分析

系统分析

亦称系统方法,是一种决策技术。所谓系统分析,就是把研究的对象放在系统形式中进行分析或综合,找出各种可行方案,供决策者进行选择。
系统分析的主要任务是,对一个系统内的基本问题,人和物及其所处的环境等要素结合起来,运用逻辑推理和分析计算的方法,在确定或不确定的条件下,找出不同方案,进行分析比较,使整体效益达到最大值。
系统分析的应用范围,一般是用于解决重大而复杂的问题,如政策与战略的分析和选择,新技术的开发与设计,系统的输入和处理等。
系统分析的方法,一方面,靠人的知识、才能和经验进行定性及综合分析;另一方面,也要用辅助分析工具进行精细的定量分析。基本的形式有,集合性的分析,相关性的分析,目的性的分析,整体性的分析和环境适应性的分析等。
系统分析应遵循以下的准则;内部条件和外部条件结合;目前利益和长远利益结合;局部效益和整体效益结合;定量分析和定性分析结合。

☚ 功能分析   目标管理 ☛

系统分析

亦称“系统方法”。以系统的整体最优为目标,对系统的各个方面进行定性和定量分析。它是一个有目的、有步骤的探索和分析过程,为决策者提供直接判断和决定最优系统方案所需的信息和资料,从而成为系统工程的一个重要程序和核心组成部分。其应用范围很广,一般用于重大而复杂问题的分析,如政策与战略性问题的分析、选择,新技术的开发、设计,企业系统的输入、处理和输出的分析等。
系统分析的实质为:(1)应用科学的推理步骤,使系统中一切问题的剖析均能符合逻辑原则,顺乎事物发展规律,尽力避免其中的主观臆断性和纯经验性。(2)借助于数学方法和计算手段,使各种方案的分析比较定量化,以具体的数量概念来显示各方案的差异。(3)根据系统分析的结论,设计出在一定条件下达到人尽其才、物尽其用的最优系统方案。系统分析的要素主要包括: (1)目的。(2)方案。(3)模型。
系统分析原则可归纳为:(1)紧密围绕建立系统的最终目的,对系统的各种方案进行分析并作出选择,切忌背离之而盲目追求先进技术或限制必要的投资。(2)从系统整体的全局观念出发,寻求总体的最优。(3)从方法论上看,系统分析一方面需要采用科学的分析技术和工具进行定量分析,另一方面还要利用分析者和决策者的直观判断和丰富经验。两者交替进行,相互融合,最终达到优选的目的。(4)在众多系统分析问题中,务必注意找出主要矛盾,并设法寻得解决主要矛盾的方法及途径。

系统分析步骤流程框图

系统分析

系统分析

从广义上说,系统分析就是系统工程;从狭义上说,就是对特定的问题,利用数据资料和有关管理科学的技术和方法进行研究,以解决方案和决策的优化问题的方法和工具。系统分析(Systems analysis)这个词是美国兰德公司在本世纪40年代末首先提出的。最早是应用于武器技术装备研究,后来转向国防装备体制与经济领域。随着科学技术的发展,适用范围逐渐扩大,包括制订政策、组织体制、物流及信息流等方面的分析。60年代初,我国工农业生产部门试行统筹方法,在国防科技部门出现“总体设计部”的机构,都使用了系统分析方法。美国兰德公司的代表人物之一希尔认为,系统分析的要素有五点:(一)期望达到的目标。复杂系统是多目标的,常用图解方法绘制目标图或目标树,以及多级目标分别相应的目标——手段系统图。确立目标及其手段是为了获得可行方案。可行方案是诸方案中最强壮(抗干扰)、最适应(适应变化了的目标)、最可靠(任何时候可正常工作)、最现实(有实施可能性)的方案。(二)达到预期目标所需要的各种设备和技术。(三)达到各方案所需的资源与费用。(四)建立方案的数学模型。(五)按照费用和效果优选的评价标准。系统分析的步骤一般为:确立目标、建立模型、系统最优化(利用模型对可行方案进行优化)、系统评价(在定量分析的基础上,考虑其它因素,综合评价选出最佳方案)。进行系统分析还必须坚持外部条件与内部条件相结合;当前利益与长远利益相结合;局部利益与整体利益相结合;定量分析与定性分析相结合的一些原则。新闻单位的自身体制改革的科学方法是系统分析。根据改革目标,建立新的体制模型;根据模型分析各变量因素及其关系,确立若干可行方案;再对方案进行评价,选择最佳方案。

☚ 系统工程   系统方法 ☛
系统分析

系统分析

创建新系统或改善现有系统时对系统进行定性或定量评价的一种方法和过程。它从系统的观点出发,对事物进行分析或综合,找出各种可行方案,使决策者从许多可行方案中选择最优方案。进行系统分析时,当前利益要和长远利益相结合;局部效益和整体效益相结合; 定量分析和定性分析相结合; 内部因素与外部因素通盘考虑。系统分析一般有五个步骤:
❶问题的构成:确定目标和说明该问题的重点和范围;
❷收集资料;
❸建立模型;
❹分析和对比各方案的经济效果,
❺决策等。如对所选择的方案不满意,则可进行反馈,再按原步骤进行分析。

☚ 系统开发   系统设计 ☛
系统分析

系统分析Systems Analysis

又称“系统方法”。即将复杂研究对象纳入系统立场,以系统总体优化为目标,以系统思路为基本思维脉络,对系统的目的、结构、功能、效益等进行综合、全面分析的一种方法。系统分析是系统工程的一个最重要的组成部分,是系统优化设计的前提。系统分析的核心是系统观念和系统思路,系统分析首先要对研究对象的系统边界进行界定,然后从系统与环境、系统单元与单元、结构与功能、输入与输出等几个方面展开具体的分析,在此基础上再围绕系统总体优化目标进行综合,找出相应的可行方案,指明各可行方案的条件、前景,供决策者选择。

☚ 正交分析法   技术经济仿真 ☛
系统分析

系统分析

亦称“系统方法”。它是系统工程的一个重要程序和核心组成部分。指用多种科学知识,在定量计算和分析的基础上结合成本效益,为选择具有特定目标的多种方案提供决策的一种方法。系统分析是由美国兰德公司正式提出的,兰德公司奈德给出的定义是: 系统分析是一种研究方法,它能在不确定的情况下,通过对问题的充分调查,找出其目标和各种可行方案,并通过直觉和判断对这些方案的结果进行比较,帮助决策者在复杂的问题中作出最佳决策,使系统整体效益达到最优。目前比较流行的系统分析基本类型有三种: (1) 兰德型。其分析目标是优化决策,其方法观念是准确地追究问题、探索诸有关因素间的关系、重视建立模型与经济效益评价、实行多方案筛选,其适用范围包括政府部门的经济社会问题,企业经营管理问题。(2) 索普型。其分析目标是改善事务管理,其方法观念是严格地分析现状、扩大电子计算机资料处理系统的使用范围,其适用范围包括企事业等业务管理系统。(3) 事务分析型。其分析目标是管理方法通用化,其方法观念是精细地分析现状、改进事务管理工作程序、优化工作分派。其适用范围包括程序性强的事务管理。通常所说作为辅助决策技术的系统分析,多属兰德型,它广泛地用来作为解决具有下述条件问题的一种方法: 需要将具有一定目标的复杂系统作为一个整体分析; 能够实现系统目标的可行方案必须有一定的数量; 各种可行方案均可用有限的变量及模型加以描述; 需要对每个可行方案作出完整论证; 需要作出定量分析及定性评价,并能给出更高层次的定性分析。

☚ 系统工程方法论   系统分析原则 ☛

系统分析

systems analysis

系统分析xi tǒnɡ fēn xī

指以系统的整体效益为目标,以寻求特定问题的最佳策略为重点,并运用定量分析方法和决策者的价值判断,以求达到最有利的决策。systems analysis, systematic analysis

系统分析

系统分析systems analysis

为了选择达到某一系统目的的最佳手段,对该系统进行的研究。它是一个根据已知系统的内部构造来决定系统性能的过程。主要工作包括:构造所研究的系统的数学模型,然后对这个数学模型进行数学分析,并把分析结果用于原系统。构造数学模型和解释分析结果都要求有丰富的经验。系统分析要求了解系统的各个过程,搜集系统运行的有关材料,为设计前决策提供数据。在运用数学分析时要解决下面三个主要问题:(1)系统的维度,即系统状态变量的多少。(2)系统中软变量。软变量是相对硬变量而言的。例如在系统中人的数量是一个硬变量,而人的质量是一个软变量。(3)系统中多个目标之间的矛盾和关系。

☚ 系统抽样   系统工程 ☛
00001067
随便看

 

离鸟网收录3541549条中英文词条,其功能与新华字典、现代汉语词典、牛津高阶英汉词典等各类中英文词典类似,基本涵盖了全部常用中英文字词句的读音、释义及用法,是语言学习和写作的有利工具。

 

Copyright © 2004-2024 vtrois.com All Rights Reserved
更新时间:2026/4/9 4:07:08