网站首页  词典首页


请输入您要查询的字词:

 

字词 保险金额
类别 中英文字词句释义及详细解析
释义 保险金额

国际贸易货物运输保险的保险金额,是被保险人对保险标的实际投保金额,是保险人承担保险责任的标准和计收保险费的基础。

在保险货物发生保险责任范围内的损失时,保险金额就是保险人赔偿的最高限额。因为,投保人投保运输货物保险时一般应向保险人申报保险金额。

保险金额原则上应与保险价值相等,但实际上也常出现不一致情况。

保险金额同保险价值相等称足额保险;被保险人申报的保险金额小于保险价值,就是不足额保险。

因此,在保险货物发生损失时,保险人按保险金额与保险价值的比例承担补偿责任;被保险人申报的保险金额大于保险价值,就是超额保险。在不定值保险情况下,超额部分通常是无效的,保险人只按照可保价值赔付。

国际贸易货物运输的保险金额,一般是以发票价值为基础确定的。从买方的进口成本看,除去进口商品的货价外,还包括运费和保险费,即以C.I.F.价值作为保险金额。

但在货物发生损失时,被保险人已支付的经营费用和本来可以获得的预期利润,仍然无法从保险人处获得补偿。

因此,各国保险法及国际贸易惯例一般都规定进出口货物运输保险的保险金额可在C.I.F.货价基础上适当加成。按照国际商会《贸易术语解释的国际通则》和《跟单信信用证统一惯例》中有关规定,一般是加成10%,对超过10%的应视具体情况确定,一般不能超过30%。目的是防止国际上的商业道德危险。

如客户要求或来证提出要按发票金额130%以上投保的,经过核实如无道德危险因素存在,从灵活做法考虑也可接受,对于来证超越成交合同规定,要求超额投保的,应及时查对原成交合同并通知被保险人电告开证人修改来证;如果高额投保,是因进口关税所引起,则可另加保“进口关税险”,加贴进口关税险条款。

保险金额的计算公式:

保险金额=C.I.F.货价×(1+加成率)

以C.I.F.货价为保险金额的计算基础,这表明不仅货物本身而且连运费和保险费也作为保险标的而一起加成投保。因此,对外报价如果需要从C.&F.价格换算成C.I.F价格,或者在C.I.F.合同项下货物卖方代买方办理投保,都不能以C.&F.价格为基础直接加保险费计算,而应先把C.&F.转化为C.I.F.价格再加成计算保险金额,然后再据以核算保险费。

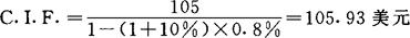
从C.&F.价格换算为C.I.F.价格时,可利用下列公式:

例如,某公司出口一批纺织品到欧洲某港口,原定单价为C.&F.欧洲港口每打105美元,保险费率为0.8%按加成10%作为保险金额,则改报C.I.F.价格是:

如出口按C.&F.成交,买方要求卖方按C.I.F.价格加成10%代办投保,可用下列公式直接从C.&F.价格计算保险金额。

随便看

 

离鸟网收录3541549条中英文词条,其功能与新华字典、现代汉语词典、牛津高阶英汉词典等各类中英文词典类似,基本涵盖了全部常用中英文字词句的读音、释义及用法,是语言学习和写作的有利工具。

 

Copyright © 2004-2024 vtrois.com All Rights Reserved
更新时间:2026/4/8 2:09:08