网站首页  词典首页


请输入您要查询的字词:

 

字词 紫胶
类别 中英文字词句释义及详细解析
释义

紫胶lac

紫胶虫在寄主植物上分泌的胶状物。又称虫胶。是唯一来源于动物的由羟基脂肪酸和倍半萜烯酸组成的聚酯型树脂。是涂料、绝缘材料、粘结剂等有多种用途的工业原料。在紫胶虫的分泌物中还存在有利用价值的紫胶色素和紫胶蜡。
简史 印度语“紫胶(Lahk)”来源于梵语Lak-sha,意译为十万,引伸意是:数以万计的胶虫所分泌的物质。汉语“紫胶”是因胶质的颜色发紫而得名。中国古籍中曾名“紫草茸”、“紫𨥥”、“赤胶”。早在公元前15~前10世纪,印度梵文《吠陀经》和史诗《摩诃婆罗多》中对紫胶虫及其寄主植物、紫胶的可塑性和使用等就有记载。中国晋代张勃(265~289年)著的《吴录》记述了紫胶虫在寄主植物上涌散和泌胶,以及用紫胶入药和染物等;明李时珍著的《本草纲目》对紫胶的产地、胶虫、寄主植物和紫胶的性状,用紫胶染色、胶结和入药等做了比较详细、确切的叙述和归纳。
19世纪初,印度紫胶生产已有相当规模,年产紫胶片达2 200吨,远销西方各国,19世纪末,紫胶由于它独特的性质和多方面的用途而迅速发展起来,在天然树脂和工业原料中占有重要的地位。20世纪前半个世纪,是紫胶工业上升和繁荣的时期,在1957年以前印度垄断了世界紫胶市场,泰国的原胶几乎全部输入印度,然后加工出口,因此,这一时期印度出口总量,可以代表世界紫胶的消费量,年平均24 000吨,最高年出口达39 000吨。1957年以后,印度、泰国紫胶出口量日益下降。1975~1985年年平均仅16 000吨,为50年代初的50%。原因是:石油化工新产品的开发,以及市场需要模式的改变,紫胶面临与合成物竞争的严峻局面。如PVC和PVA在唱片工业上完全取代了紫胶的地位。其他如涂料、电绝缘材料等,也不同程度地被合成物取代。
中国把紫胶作为工业产品始于20世纪50年代。云南昆明1956年建立了第一个土法生产的紫胶加工厂。60年代初,建立了一批国营紫胶园,紫胶产量迅速增长,到1988年原胶产量达1 482吨。1965年,热滤法工艺的机械化生产完全代替了土法生产,并在南方各地建立起现代紫胶工业。
紫胶品种 ❶原胶:从紫梗上剥下经风干后的紫胶块,是紫胶加工的原料。
❷粒胶:原胶经破碎、筛选、洗涤和干燥等工序初步净制后的粒状紫胶,是加工紫胶片或脱色、脱蜡紫胶和漂白胶的原料。
❸紫胶片:粒胶经净制后,再经热压成薄片状的紫胶。根据颜色、杂质含量和其他性质,有多种规格和等级。
❹漂白紫胶:用次氯酸钠液漂白,去除紫胶中醇溶性红紫胶素后的白色紫胶。含一定蜡质的叫普通漂白胶;在漂白前或漂白后去除蜡质的叫精制漂白紫胶或脱蜡漂白紫胶。
❺脱色和脱蜡紫胶:粒胶溶于酒精后用活性炭吸附法除去紫胶中红紫胶素的为脱色紫胶;粒胶溶于酒精后用冷冻或其他方法除去紫胶蜡的紫胶为脱蜡紫胶。
紫胶性质 紫胶是无毒、坚硬,略比水重的无定形物质。在65~70℃软化,75~80℃熔化,在高于熔点温度继续受热时,会逐渐失去流动性变成橡胶状物,并进而成为完全不溶和不熔的物质。紫胶溶于醇、有机酸、无机碱和有机碱的水溶液,在有少量极性溶剂(如水、醇)的存在下也溶于丙酮;不溶于酯、醚、烃及水中,在有碳酸钠、硼砂、氨、吗啉或三乙醇胺存在的水中分散,表明紫胶含有羟基、羧基和羰基。紫胶树脂中极性基团的存在使紫胶在光滑的表面上具有很强的附着力,是这些极性基团的定向作用。这些极性基团又会吸附极性溶剂,使紫胶的耐水性降低。紫胶在紫外线辐射和电弧作用下仍能保持稳定的绝缘性,但又存在易燃性。紫胶在短时间受热时有热可塑性,受热时间长即发生聚合反应,粘度随之上升,并在变成橡胶状物一瞬间后凝结成坚如角质、不溶于醇的硬块,也不再熔化,这一现象叫固化,是紫胶树脂聚合反应的结果。聚合的紫胶又叫固化紫胶。部分聚合而又溶于醇的紫胶树脂在醇溶液中对紫胶蜡有分散作用。
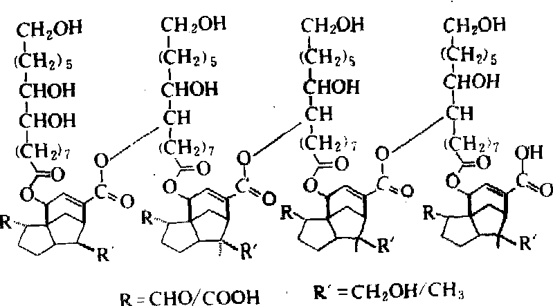
紫胶树脂的化学组成和结构 由硬树脂和软树脂组成的紫胶树脂是由羟基酸和萜烯酸组成。羟基酸中最重要的是罂子桐酸,约25%,其次是紫𨥥醇酸,约8%;萜烯酸主要是壳脑醛酸,约25%,其他为壳脑酸、表壳脑酸约8%,紫胶壳脑醛酸约8%。紫胶树脂中还发现有游离脂肪酸10.72%,游离萜烯醛酸2.7%。
紫胶树脂中不溶于乙醚部分为硬树脂(或纯树脂),占紫胶的70%,它支配着紫胶的大部分特性,每1分子的硬树脂是由4个萜烯酸〔3个壳脑醛酸(表壳脑醛酸)和1个紫胶壳脑酸(表紫胶壳脑酸)〕和4个罂子桐酸所构成,分子量为2 194。结构式如下:


紫胶树脂中乙醚可溶部分为软树脂,是一种既软又粘的香脂状物质,由于红紫胶素的存在而呈黄橙色或棕色,在紫胶树脂中起增塑剂的作用。组成软树脂的大部分是4种酸酯:紫胶壳脑醛酯-Ⅰ、-Ⅱ和壳脑醛酯-Ⅰ、-Ⅱ。
用途 主要的有以下几方面:❶成膜物质。家用清漆、紫胶酒精清漆作木器底漆可封闭木材的纹孔,防止木材树脂渗出。干燥迅速,便于打磨,增强面漆的附着力和耐磨性。紫胶防蚀、防潮底漆,用于各种有色金属,如子弹、弹药筒、弹壳的涂层,火药的防潮。此外,紫胶和钛白粉、炭黑用作底漆或快干瓷漆;碳酸钠、硼砂、氨、吗啉和三乙醇胺等弱碱的紫胶水溶液用于皮革整饰,地板、纸张、包装物上光。
❷塑料。一般用于压铸砂轮、火漆等,少量用于75转/分的唱片。
❸绝缘材料。利用紫胶高介电强度、高粘结和在电弧作用下稳定性能,用于粘结绝缘板、层压云母板的绝缘漆等。
❹胶粘剂和胶泥。作层压纸板、黄麻板、宝石加工、火药、砂纸、砂布的粘结剂,也可作石油天然气密封衬片、垫圈胶泥,光学玻璃和灯泡胶泥等。
❺其他。在食品、医药和化妆品工业也广泛使用,还用于各种油墨、墨水、制帽工业等等。
趋势 紫胶是可再生资源,生产过程无污染,用途广泛,使用安全,尤其是适用于食品、医药、化妆品和军工,具有广阔的发展前景。但是,紫胶带有颜色,软化点较低,对水和溶剂的耐性较差以及缺少现代技术要求的某些特殊性能等,限制了它的利用。为此,对紫胶进行改性提高其性能,成为今后紫胶加工中有待研究解决的重要课题。

紫胶

药名。见蔡邦华《昆虫分类学》。为紫草茸之别名,详该条。

紫胶lac

又称“虫胶”。紫胶虫在寄主树木枝条上吸吮树汁分泌的一种天然树脂。世界上适于放养紫胶虫的地区在W80°~120°E、16°~32°N之间,尤以19°~26°N地区寄主树种类繁多,气候温和,雨量适中最适于紫胶生产。紫胶生产国家除中国外,主要为南亚诸国。寄主树主要有钝叶黄檀、思茅黄檀、南岭黄檀、火绳树、木豆、久树、滇刺枣、紫铆等。成品紫胶主要组成成分为紫胶树脂,是一些羟基羧酸的内酯和交酯组成的复杂混合物,主要成分为紫胶桐酸约25%,紫铆醇酸约8%,壳脑醛酸约25%,表壳脑酸和壳脑酸约8%,紫胶壳脑醛酸约8%,其他尚含有游离脂肪酸等。树脂平均分子量约1 000,分子式C60H90O5。紫胶树脂是一种硬而脆的无定形物质,半透明或几乎不透明,浅黄色至橙棕色或暗红色。加热熔化时,发散出特殊的芳香气味。溶于乙醇、甲醇,易溶于甲酸、醋酸、甲基乙基酮、乙醛和丁醛中,不溶于丙酮、四氯化碳、二硫化碳和水中。紫胶酒精溶液涂膜干燥快,光泽好,坚硬而有韧性。紫胶黏着力强,耐酸,防潮、防锈,电绝缘性和热可塑性良好,对人无毒、无刺激性,是一种具有多种用途的天然树脂。广泛的用于涂料、塑料、绝缘材料、电气、印刷、钟表、机械、橡胶、制革、造纸、医药、军工和食品等工业部门。

紫胶

紫胶虫寄生在寄主植物上分泌出的一种紫红色天然树脂,工业原料。又称虫胶。主要成分由紫胶树脂、紫胶蜡、紫胶色素组成,具有绝缘、粘合、热塑、防水、防潮、防锈、耐腐、无毒等特性,广泛用于军事、电气、涂料、油漆、机械、橡胶、塑料、制革、造纸、医药、食品等行业中。紫胶虫的寄主植物种类较多,有合欢、木豆、牛肋巴等。四川1961年开始引种,现已发展到6个市、地、州的22个县。1990年全省栽种面积约0.6万公顷,产量约210吨。

紫胶

又称”虫胶”。紫胶虫吸食寄生树液而分泌的一种紫红色天然树脂。主要成分为罂子桐酸、三环萜烯酸、加拉酸等。有梗胶、原胶、片胶之分。用于制清漆、涂料、绝缘材料等。

随便看

 

离鸟网收录3541549条中英文词条,其功能与新华字典、现代汉语词典、牛津高阶英汉词典等各类中英文词典类似,基本涵盖了全部常用中英文字词句的读音、释义及用法,是语言学习和写作的有利工具。

 

Copyright © 2004-2024 vtrois.com All Rights Reserved
更新时间:2026/4/8 7:31:49