网站首页  词典首页


请输入您要查询的字词:

 

字词 纹枯利
类别 中英文字词句释义及详细解析
释义

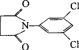
纹枯利dimetachlone

又名菌核净。杂环类杀菌剂。化学名称:N-3,5-二氯苯基丁二酰亚胺。化学结构式如下。原药为黄色结晶,可溶于乙醇、甲醇、丙酮、氯仿、苯中。30℃时水中溶解度为240 mg/kg,对热和酸稳定,遇碱分解,在日光照射下也会分解,对核盘菌和葡孢霉菌、丝核菌有活性,用于防治水稻纹枯病、菌核病等。豆科、茄科植物应慎重,以免药害。小鼠口服急性LD50为1 250 mg/kg,大鼠口服后,24 h内由尿道排出,对组织和器官无影响,如日服二甲基亚硝胺500 mg/kg,使其肾部近中12曲小管中的细胞受损伤,随后口服菌核净,一星期后,受伤部位细胞恶变,12星期后呈癌症前期症状。

随便看

 

离鸟网收录3541549条中英文词条,其功能与新华字典、现代汉语词典、牛津高阶英汉词典等各类中英文词典类似,基本涵盖了全部常用中英文字词句的读音、释义及用法,是语言学习和写作的有利工具。

 

Copyright © 2004-2024 vtrois.com All Rights Reserved
更新时间:2026/5/28 20:46:05