线性概率模型linear probability model
考虑线性回归模型yi=xiβ+εi,其中yi=1的概率为Pi,yi=0的概率为1-Pi。很清楚xi解释了yi=1或0的概率。让Pi=P(yi=1|xi)=F(xiβ),1-Pi=P(yi=0|xi)=1-F(xiβ)。易见E(yi|xi)=1×F(xiβ) + 0× (1 -F(xiβ))=F(xiβ)。若F(xiβ)=xiβ,则称该线性回归模型为线性概率模型。此时解释变量对被解释变量的边际影响为:

注意,该模型的随机干扰项ε
i的均值为零,E(ε
i)=(1-x
iβ)F(x
iβ)-(x
iβ)(1-F(x
iβ))=F(x
iβ)-x
iβ = 0,Var(ε
i)=(1-x
iβ)
2F(x
iβ)+(-x
iβ
2)(1-F(x
iβ))=(1-x
iβ)(x
iβ)
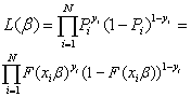
给定N个独立观测值的样本,似然函数为

则对数似然函数为:

参数估计β就是最大化LL(β)的解,我们解一阶条件

最后,海赛(Hessian)矩阵

必须为负定。参数估计量的协方差阵为Var(

)=
