网站首页  词典首页


请输入您要查询的字词:

 

字词 线性规划模型
类别 中英文字词句释义及详细解析
释义

线性规划模型linear programming model

描述经济活动中具有确定目标和一定约束条件,而目标函数和有关约束条件之间为线性关系的数学模型。线性规划模型的结构一般由变量、目标函数、约束条件三部分组成。它要求一组非负变量的值满足一组线性约束条件,并使一个线性目标函数达到最大值或最小值。其数学模型的一般形式是:
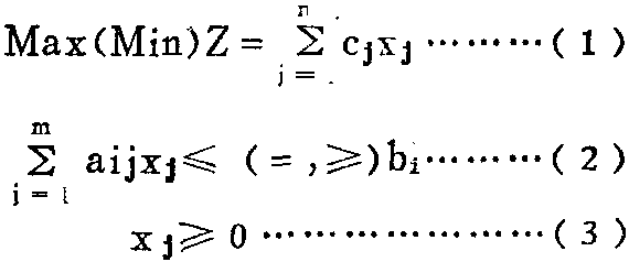
求一组变量xj(j=1,2,…,n)的值,使其满足:

并使目标函数S=CjXj的值最小(或最大)。 式中aij为约束条件中决策变量的技术系数,bi为资源限制量;cj为决策变量评价系数。建立线性规划模型的步骤是:提出问题,确定目标,列出约束条件;写出符号模型;搜集和整理数据,使符号模型具体化;求模型最优解;对模型进行调试、修正;验证模型,分析优化结果是否合理。模型的求解方法,如只有两个变量,可用图解法;两个变量以上则要用单纯形法或对偶法等。在求解过程中它能自动完成复杂的综合平衡和反馈调节,因而被广泛应用于经济管理、交通运输、资源分派、生产布局、工程建设等。但这种模型以若干假设为前提,应用时有一定局限性。
线性规划模型

线性规划模型

即线性规划的数学模型。一个完整的线性规划模型,必须包括三个部分: (1)线性目标函数; (2)一组线性不等式或等式约束条件; (3)决策变量非负约束,用数学模型表示就是:

在实际运用中,为建模方便,可将上述数学模型写成以下矩阵表,这样也便于输入计算机。
建立线性规划模型的步骤是:(1)问题的归纳和辨识; (2)确定目标函数;(3)决定线性约束条件;(4)选择和确定决策变量; (5)确定待定系数,包括目标函数中的价值系数及系数矩阵中的投入产出技术系数。
☚ 线性规划   非线性规划 ☛
00001390
随便看

 

离鸟网收录3541549条中英文词条,其功能与新华字典、现代汉语词典、牛津高阶英汉词典等各类中英文词典类似,基本涵盖了全部常用中英文字词句的读音、释义及用法,是语言学习和写作的有利工具。

 

Copyright © 2004-2024 vtrois.com All Rights Reserved
更新时间:2026/5/25 22:12:23