网站首页  词典首页


请输入您要查询的字词:

 

字词 细胞色素c
类别 中英文字词句释义及详细解析
释义

细胞色素Ccytochrome C

系从猪、牛心或酵母中提得的一种细胞呼吸激活剂。为含铁卟啉的色蛋白质,其作用机制与辅酶相似,在有酶存在的情况下,对组织中的氧化还原具有迅速酶促作用;当组织缺氧时,细胞透过性增高,注射本品后,可进入细胞内起到矫正细胞呼吸与促进物质代谢作用。临床上用于多种原因引起的组织缺氧的急救,如严重休克缺氧,各种脑病缺氧、各种心脏病缺氧、各种药物中毒缺氧,但效果有时不显著。成人1日1~2次,1次15~30mg,加入25%葡萄糖中缓注,或加入5~10%葡萄糖生理盐水中滴入。用本品可引起过敏反应,需作过敏试验。

细胞色素C

细胞色素C


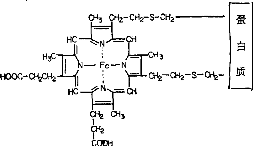
细胞色素C(cytochrome C)是从食用动物的心肌、鸟类的胸肌中提取的一种含有辅基为铁卟啉的色蛋白。也可从酵母中提取。其结晶呈红色、溶于水。氧化型的水溶液呈深红色、还原型水溶液呈桃红色。分子量13000,含铁量0.43%,对热、酸比较稳定。分子结构中蛋白质部分的硫氢键与卟啉环上乙烯基的α-碳原子以共价方式连接成硫醚键。
细胞色素-C在呼吸链中担负传递电子作用。在传递电子时铁原子进行可逆的氧化还原反应。把电子交给另一个细胞色素。最后将电子传递给氧,生成O-与H+结合为水分子。细胞色素C需在细胞色素C氧化酶催化下才能作用。当脑、心、肝等缺氧时,代谢过程受阻,乳酸堆积,引起pH的改变,影响细胞膜的通透性,导致钾、钠平衡失调。此时若补充外源性细胞色素C,可在酶的作用下加速激活分子氧,使糖、脂肪等氧化得以进行。细胞色素-C在临床上用于冠心病、心肌梗死、脑缺氧、及一氧化碳中毒等。副作用有皮疹、发热等过敏反应,注射用粉剂,每日二次,每次15~30mg。
☚ 前列腺素类似物   腺三磷 ☛
00005335
随便看

 

离鸟网收录3541549条中英文词条,其功能与新华字典、现代汉语词典、牛津高阶英汉词典等各类中英文词典类似,基本涵盖了全部常用中英文字词句的读音、释义及用法,是语言学习和写作的有利工具。

 

Copyright © 2004-2024 vtrois.com All Rights Reserved
更新时间:2026/4/7 11:18:17