网站首页  词典首页


请输入您要查询的字词:

 

字词 细菌的分解产物
类别 中英文字词句释义及详细解析
释义
细菌的分解产物

细菌的分解产物

细菌的分解代谢,是在多种酶的催化下,由复杂的营养物质分解为简单化合物的过程。在物质的分解过程中,同时有能量释放和中间产物的形成。其中有些产物可用于鉴别细菌。
糖类分解产物 不同种类细菌所含的酶系统不同,因此其分解糖类的能力及产生的代谢产物也不同,借此可鉴别细菌。例如大肠杆菌能分解乳糖产酸产气,而伤寒杆菌、副伤寒杆菌等缺乏乳糖酶,不能分解乳糖。前者能分解葡萄糖产生丙酮酸,又能使丙酮酸转变为各种酸类,其中甲酸由于解氢酶的作用,生成氢和二氧化碳等气体; 伤寒杆菌等则缺乏甲酸解氢酶,故分解葡萄糖后,只产酸不产气。此外,尚有下列常用的糖分解试验。
(1) VP (Voges-Proskauer)试验:主要鉴别大肠杆菌和产气杆菌。两菌均能分解葡萄糖产生丙酮酸,但产气杆菌能使丙酮酸脱羧,生成中性的乙酰甲基甲醇。乙酰甲基甲醇在碱性溶液中被空气中的氧气氧化,生成二乙酰。二乙酰和培养基中含胍基的化合物反应,生成红色化合物,是为VP试验阳性。大肠杆菌不能将丙酮酸脱羧,故VP试验为阴性。


(2) 甲基红试验: 大肠杆菌与产气杆菌均能分解葡萄糖,产生多种酸,但产气杆菌能将两分子丙酮酸脱羧成一分子中性的乙酰甲基甲醇,因而培养物中形成的酸类较少,总酸量较低,在pH5.4以上,加入甲基红指示剂时,呈现橘黄色,为甲基红试验阴性。而大肠杆菌分解丙酮酸时产生的酸类较多,其培养物的酸碱度在pH4.5或更低,加入甲基红试剂呈现红色为阳性。
(3) 枸橼酸盐利用试验: 产气杆菌能利用枸橼酸盐作为碳源,在单一含有枸橼酸盐为碳源的培养基上能够生长; 由于分解后生成碱性碳酸盐,使培养基的酸碱度(原在pH7.0以下) 转为碱性,故使溴麝香草酚蓝指示剂由绿色变为深蓝色,此为阳性反应。大肠杆菌不能利用枸橼酸盐,得不到碳源,故不能生长,培养基仍为原来的绿色,此为阴性反应。
蛋白质及氨基酸的分解产物 酪蛋白胨化等都是蛋白质分解现象。不同细菌分解蛋白质的能力不同,可借以鉴别细菌。能分解氨基酸的细菌比能分解蛋白质的细菌为多,故常利用各种细菌对个别氨基酸的分解能力,以及形成的产物不同来鉴别细菌。常用的有:
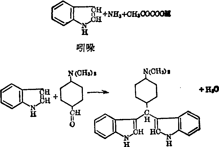
(1) 吲哚试验: 大肠杆菌、变形杆菌、霍乱弧菌等含有色氨酸酶,能分解色氨酸生成吲哚。加入对二甲基氨基苯甲醛试剂,使无色的吲哚形成红色的玫瑰吲哚,则易为肉眼识别,是为吲哚试验阳性。


对二甲基氨基苯甲醛 玫瑰吲哚


(2) 霍乱红反应: 霍乱弧菌不仅能分解色氨酸产生吲哚,同时还能还原硝酸盐为亚硝酸盐。此两种产物在浓硫酸催化下,生成红色的亚硝酸吲哚,此反应称为霍乱红反应。但这反应并非霍乱弧菌所特有,故只能作为辅助诊断之用。


(3) 硫化氢试验: 有些细菌能分解培养基中含硫的氨基酸,如胱氨酸、甲硫氨基酸等。若在培养基中再加有醋酸铅或硫酸亚铁等化合物,与硫化氢相遇,则形成黑色的硫化铅或硫化铁沉淀物。


本试验常用于区别肠道杆菌的种类。志贺菌属、大肠杆菌、产气杆菌均为阴性,沙门菌属与变形杆菌属中部分菌为阳性,如普通变形杆菌和副伤寒乙杆菌等。
(4) 尿素分解试验: 变形杆菌等具有尿素分解酶,能分解尿素形成大量氨,使含有尿素的培养基酸碱度上升而变为碱性,酚红指示剂呈现红色为阳性反应。


(5) 明胶液化: 明胶是一种在温水中溶解、冷却后结成凝胶的蛋白质。有些细菌具有明胶酶,能消化明胶,使凝胶液化。将细菌接种于含有明胶的培养基后,一般置20~22℃,5~7天后,观察是否液化。若细菌在20~22℃不能生长可放在37℃24~48小时,此时明胶呈液体状态,观察结果时需把培养物放入冰箱30分钟,如已液化,不再凝固。变形杆菌、霍乱弧菌能液化明胶;大肠杆菌、沙门菌属则不能。
吲哚(indol)试验、甲基红 (methyl red)试验、VP(Voges-Proskauer)试验和枸橼酸盐 (citrate)利用试验常用于肠道杆菌的鉴定,简称为IMViC试验。例如大肠杆菌的IMViC试验是++--,而产气杆菌为--++。
☚ 细菌的合成产物   消毒与灭菌 ☛
00014651
随便看

 

离鸟网收录3541549条中英文词条,其功能与新华字典、现代汉语词典、牛津高阶英汉词典等各类中英文词典类似,基本涵盖了全部常用中英文字词句的读音、释义及用法,是语言学习和写作的有利工具。

 

Copyright © 2004-2024 vtrois.com All Rights Reserved
更新时间:2026/5/25 13:32:10