网站首页  词典首页


请输入您要查询的字词:

 

字词 修正L逼近理论
类别 中英文字词句释义及详细解析
释义 修正L逼近理论

又称“变形L逼近理论”,即“变形平均逼近理论”。

通常的L范数下的最佳逼近的特征没有明显的几何意义,而且使用也不方便。因此,寻求并研究具有明显的几何意义而又使用方便的L型度量(即L范数的变形)的新的逼近方法,在理论上和实际应用上都将具有十分重要的意义。

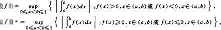
鉴于一致范数下的最佳逼近的特征具有明显的几何意义——交错性,同时已经建立了完美的切比晓天(Chebyshev)理论,1982年皮克斯(A.Pinkus)和歇夏(O.Shisha)首次提出两类L型度量:对于f∈C[0,1]定义

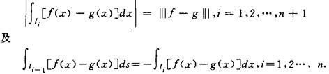
他们建立的此度量下的线性最佳逼近理论包含经典的切比晓夫理论的许多本质的内容:交错特征和唯一性,其中作为切比晓夫理论的核心的交错定理在这里表述为:若f∈C[0,1]而G为C[0,1]中的n维Chebyshev子空间,则g∈G为f之最佳逼近当且仅当至少存在n+1个小区间I1<I2<…<In+1满足条件

1986年马志伟进一步完善了这一理论(发表于1991年):证明了强唯一性并建立了切比晓夫理论的范围,也就是使切比晓天理论成立的必要条件。1990年马志伟和史应光又将此理论推广到有理函数的逼近。

但是这两种度量都存在同一个缺点,就是它们都不是范数,这自然会给研究和应用带来不便,因而也使得切比晓夫理论的有些内容仍不能保持,例如存在性等。为了克服这一缺点,1988年史应光提出了一种新的变形L逼近方法,对应的度量是L型的,同时它是一种范数:

令人感到惊奇的是,在此范数下建立的逼近理论保持了切比晓夫理论的几乎所有的本质内容:存在性、唯一性、交错特征、强唯一性以及最佳逼近算子的连续性等。

更进一步,还讨论了杰克生(Jackson)型定理、闵次(Muntz)型定理、黎弗林(Rivlin)问题及切比晓夫理论的范围。

1990年冷文浩成功地将这一理论推广到有理函数的逼近中去,建立了包括唯一性、交错定理及强唯一性在内的逼近理论。

如果我们注意到普通的最佳L,有理逼近不仅判别很困难,而且通常仅得到局部最佳逼近,那么上述变形L逼近的理论意义和应用价值就十分明显了。

同年,方明讨论了基于此范数的LP(1<p<∞)型度量:

虽然这已不再是范数了,但依然能建立类似于切比晓夫理论那样的逼近理论。因而仍具有其理论价值。

这个研究方向的创立虽然时间不长,但已日益引起人们的关注和重视。

众所周知,最佳一致逼近的研究历史悠久,既深且广,成果丰富且十分完美。而变形L逼近又大多具有与此逼近相似的特点,所以,可以进行与此平行的系统研究,以求完善和深化这一理论。

非线性逼近更值得重视,这方面迄今为止尚仅限于有理函数的逼近,至多是广义有理函数的逼近。当然困难是明显的,但是希望与困难同在。

上面提及的有理函数的逼近所显示的优点表明,非线性的变形L逼近或许正是它发挥作用的地方,值得人们去探索。

新的L型度量仍有待人们去寻求,人们期待那些在理论上或应用上有价值的L型度量的发现。

。【参考文献】:

1 Pinkus A, et al.J. ApproxTheory,1982,35:148~168

2 Shi Yingguang, Approx. Theory Appl, 1988,4,109~119

3 Ma Zhiwei.et al. J Approx. Theory, 1990,62:262~273

4 Fang Ming. J Approximation Theory,1990,62:94~109

5 冷文浩.应用数学学报,1990,13∶473~483

6 Ma Zhiwei. Progress in Approximation Theory(Nevai P. et al. Eds). New York: Academic Press, 1991,667~692

7 Shi Yingguang, J Approx. Theory, 1991,67 :239~251

(中国科学院计算中心史应光教授撰)

上一篇:弱P叶函数
下一篇:现代科技综述大辞典上目录
"修正t′检验修正t′检验

总体平均数假设检验的一种。

运用修正t′统计量,对两个不具备方差齐性的独立总体做出其平均数是否相等的检验。修正统计量t′=,式中,x1、S2与n1是取自第一个总体的随机样本的均值、方差与容量,、S与n2是取自第二个总体的随机样本的均值、方差与容量。其中=(X1i)2=(X2i)2。用=公式可计算出临界点,式中,tα(n-1)与tα(n2-1)分别是自由度为n1-1和n2-1的t分布的临界值。

随便看

 

离鸟网收录3541549条中英文词条,其功能与新华字典、现代汉语词典、牛津高阶英汉词典等各类中英文词典类似,基本涵盖了全部常用中英文字词句的读音、释义及用法,是语言学习和写作的有利工具。

 

Copyright © 2004-2024 vtrois.com All Rights Reserved
更新时间:2026/4/7 1:10:40