网站首页  词典首页


请输入您要查询的字词:

 

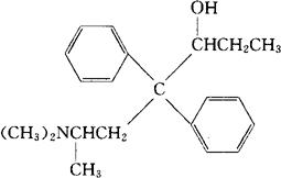
字词 倍他美沙朵
类别 中英文字词句释义及详细解析
释义 倍他美沙朵

C21H29NO=311.47

CAS-17199-55-2

(3S,6R)-6-二甲氨基-4,4-二苯基-3-庚醇。

(3S,6R)-6-Dimethylamino-4,4-diphenyl-3-heptanol.

镇痛药。

倍他米沙醇。

Betamethadol.

INN,BAN,DCF,DCIT,NFN,USAN.

随便看

 

离鸟网收录3541549条中英文词条,其功能与新华字典、现代汉语词典、牛津高阶英汉词典等各类中英文词典类似,基本涵盖了全部常用中英文字词句的读音、释义及用法,是语言学习和写作的有利工具。

 

Copyright © 2004-2024 vtrois.com All Rights Reserved
更新时间:2026/4/6 20:30:07