网站首页  词典首页


请输入您要查询的字词:

 

字词 维甲类
类别 中英文字词句释义及详细解析
释义
维甲类

维甲类


维甲类(retinoids)是以维生素甲(维生素A)为母体的天然或合成的衍生物,为预防癌变和治癌而研究的一类有希望的化合物。早在20年代就发现缺乏维甲类的膳食会增加动物对致癌物的敏感性,30年代又根据缺乏维甲类使上皮不能正常分化而促进肿瘤形成的论点,给长肿瘤的小鼠以大剂量的胡萝卜素,发现肿瘤得到抑制,以此开辟了以天然和合成维甲类预防上皮肿瘤产生的研究。维甲类对化学诱发动物的皮肤癌、乳腺癌、肺癌和膀胱癌有预防作用,但不抑制肠癌发生。对多种移植性动物肿瘤(小鼠艾氏癌、肉瘤S180、白血病L1210和大鼠Walker癌肉瘤256及子宫上皮瘤T-8)没有活性,但对黑色素瘤S-90、移植性腺癌、软骨肉瘤有抑制作用。对亚硝胺诱发的增生癌变亦有抑制作用。在体外,维甲类逆转致癌物引起的地鼠气管、小鼠前列腺和鸡胚足跖的上皮细胞的鳞状化生以及成纤维细胞和黑色素细胞的改变,使它们恢复正常细胞的性质。维甲类在体外能抑制佛波酯 (pho-rbol ester)所激发的鸟氨酸脱羧酶的活性。这种体外的作用可用以评价维甲衍生物的生物活性,并亦表示它在肿瘤预防方面的价值。
目前认为维甲类作用于致癌的促进阶段,具有多种作用机制,能提高宿主免疫反应;与细胞膜作用; 通过与细胞中维甲类的受体结合,作用于细胞遗传器,使转变的细胞产生正常分化。维甲类还有抑制肉瘤生长因素(SGF)的作用。
外用天然的维甲类,如维甲酸对痤疮、牛皮癣、毛囊角化、口腔白斑和基底细胞癌有治疗作用,并且能减轻链脲霉素、亚硝脲等抗癌药的全身毒性。但由于它引起皮肤、粘膜和肝功能损伤及头痛,过量有致畸等副作用,而阻碍了口服用足够剂量以达到预防肿瘤的目的。
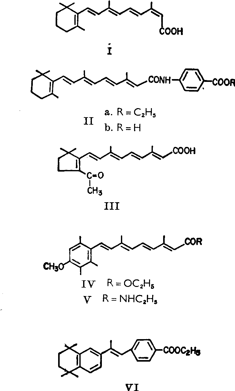
维甲酸类衍生物 近年来致力于其衍生物的合成,以降低毒性和提高选择性。在衍生物中13-顺式维甲酸(Ⅰ)(isotretinoin,accutane,RO-4-3780)已为商品,主要用于痤疮。在临床Ⅱ期试用于肿瘤治疗,初步印象为对头颈、和维胺酸Ⅱb在体内外试验有较好的活性,且毒性较13-顺式维甲酸和衍生物Ⅳ和Ⅴ的低,现已在临床应用于痤疮、口腔白斑、牛皮癣及肿瘤预防。分子中六元环改为五元环的Ⅲ,在体内外亦有较好的活性。化合物Ⅳ(RO-10-9359)和Ⅴ(RO-11-1430)为第二代有效而毒性较低的维甲类衍生物,环系为取代芳环所代替,Ⅳ的治疗指数2,为维甲酸的10倍,已有商品(tigason)用于牛皮癣及异常的皮肤角化等。Ⅳ及其它的维甲类化合物抑制膀胱乳头瘤,在预防膀胱癌复发的临床观察中,治疗组的复发率显著比对照组的低,此外对治疗皮肤癌和瘤前变均有效。Ⅳ的剂量一般为50mg。维甲类衍生物研究已有第三代的产物,在此类结构中,两个芳香环参与了维甲酸侧链的组成,如化合物Ⅵ,其活性为维甲酸的8000倍,然其治疗指数只为后者的10倍,与Ⅱ相当。维甲酸类衍生物的常见毒性为粘膜与嘴唇干燥,有的干裂,表皮脱落,口腔炎与舌炎。


维A类虽是防癌药物中值得注意的一个方面,临床也初步显示了一定的效果,但是缺乏细致的对比,临床预防效果还有待证实。
☚ 羟基脲   靛玉红 ☛
00005699
随便看

 

离鸟网收录3541549条中英文词条,其功能与新华字典、现代汉语词典、牛津高阶英汉词典等各类中英文词典类似,基本涵盖了全部常用中英文字词句的读音、释义及用法,是语言学习和写作的有利工具。

 

Copyright © 2004-2024 vtrois.com All Rights Reserved
更新时间:2026/4/8 11:49:31