网站首页  词典首页


请输入您要查询的字词:

 

字词 综合除法
类别 中英文字词句释义及详细解析
释义

综合除法

 指用x—c去除一元多项式f(x)的一种简便的计算方法。它在计算一元多项式的值,解一元高次方程和因式分解等问题中是重要的,常用的工具。
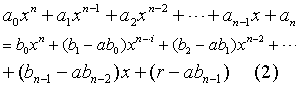
 运用综合除法的基本要求是:①熟练掌握综合除法的简便直式(用xc去除a0xn+a1xn-1+…+an-1x+an):


 得商式为b0xn-1+b1xn-2+…+bn-1,余数为r。②懂得综合除法的算理:用待定系数法即可推得。
综合除法

综合除法zonghe chufa

计算多项式f(x)除以x-a所得不完全商和余数的一种常用的比较简便的方法.

f(x)=a0xn+a1xn-1+a2xn-2+…+an-1x+an(a0≠0)

除以x-a,所得的不完全商是(x),余数是r.那么

f(x)=(x-a)(x)+r (1)


这里(x)是x的n-1次多项式,把它记作(x)=b0xn-1+b1xn-2+b2xn-3+…+bn-2x+bn-1 (b0≠0)
把(x)的表达式代入(1)式,经整理后可得

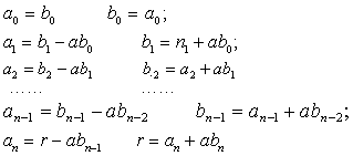
等式(2)是一个恒等式.由多项式恒等的定理可得

从上面右边得出的一列等式可以看到,不完全商(x)的各项系数b0,b1,b2,…,bn-1和余数r,可以从被除式f(x)的各项系数a0,a1,a2,…,an和除式x-a中的a顺次递推出来.
为了方便,上面的计算可以列式来进行


例如,求f(x)=3x5-14x3+7除以x-2所得的不完全商和余数,先把f(x)按x降幂排列,缺项补零、表示为完全多项式

f(x)=3x5+0x4-14x3+0x2+0x+7

由此确定各项的系数顺次是3,0,-14,0,0,7.再由x-2确定a=2,列式来计算


不完全商余数r=-9.
象上面这样求多项式f(x)除以x-a的不完全商和余数的方法,称为综合除法.
☚ 因式定理   既约多项式 ☛

综合除法

用x-a除多项式f(x)=anxn+an-1xn-1+…+a1x+a。(n≥1)的一种方法。作法如下:

式中bn=an,bi=ai+bi+1a(i=0,1,2,…,n-1)。商式为g(x)=bnxn-1+bn-1xn-2+…+b1,余式为b0=f(a)。

综合除法

synthetic division

随便看

 

离鸟网收录3541549条中英文词条,其功能与新华字典、现代汉语词典、牛津高阶英汉词典等各类中英文词典类似,基本涵盖了全部常用中英文字词句的读音、释义及用法,是语言学习和写作的有利工具。

 

Copyright © 2004-2024 vtrois.com All Rights Reserved
更新时间:2026/4/6 22:24:58