偏态
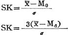
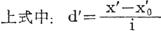
分配数列的各组次数从高峰组向两边不对称地由近而远逐渐下降的偏斜分布如一边的组数多,次数下降得缓慢,尾巴拖得长;一边的组数少,次数降得快,尾巴短。 偏态有方向和程度的不同,测定偏态方向和程度的指标为“偏态系数”,有绝对偏态系数与相对偏态系数。凡次数分配图的右边尾巴拖得较长的为“右偏态”或“正偏态”(下页图一),计算出的偏态系数为正数;左边尾巴拖得较长的,为“左偏态”或“负偏态”(下页图二),计算出的偏态系数为负数。对称的分配数列的偏态系数为零。 偏态系数的计算方法有:  图一 正偏态  图二 负偏态 皮尔生经验式:  以上两式以±3为上下极限。 四分位法:  上式以±1为上下极限。 10-90百分位法:  上式以±1为上下极限。 第三动差法:  上式中  此式无明确的上极限,但以±2为显著偏斜。以组距简捷法计算:  上式中  以上公式中:SK代表偏态系数,a3(alpha 3)代表以第三动差法计算的偏态系数, 、M。、Md分别代表算术平均数、众数、中位数,Q1、Q2、Q3分别代表三个四分位数,P10、P50、P90分别代表第10、第50、第90百分位数,σ为标准差,7r3代表第三动差,x。′为组距数列中作为假定平均数的组中值,x′为其他组中值,d′为各组对假定平均数的组距差,f为次数,i为组距。 |