| 释义 |
罗伊恒等式Roy's Identity在消费者理论中,设价格p=(p1,…,pn)>0, 收入为w。当间接效用函数ν(p,w)可微时, 对p=(p1,…,pn)>0和w>0,有xi(p,w)= ,i=1,2,…,n。其中,xi(p,w)是在价格p和收入w之下消费者对第i种商品的需求函数,称为罗伊恒等式。 罗伊恒等式 罗伊恒等式Roy’s Identity在消费者理论中,设价格p=(p1,…,pn),收入为w。当间接效用函数v(p,w)是可微时,对p=(p1,…,pn)>0和w>0,有 
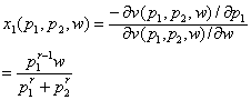
其中x i(p,w)是在价格p和收入w之下消费者对第i种商品的需求函数,称为罗伊恒等式。例如设效用函数u(x 1,x 2)=x 1ρ+x 2ρ,可求出间接效用函数v(p 1,p 2,w)=(p 1r+p 2r) -1/rw,其中r=ρ/(1-ρ)。由罗伊恒等式,对商品1的需求函数 
类似地得x 2(p 1,p 2,w)=p 2r-1w/(p 1r+p 2r)。 ☚ 间接效用函数 补偿需求函数 ☛ 00000653 |