网站首页  词典首页


请输入您要查询的字词:

 

字词 偿还年金
类别 中英文字词句释义及详细解析
释义 偿还年金

指一次借款,按复利计算在今后若干年内应逐年等额偿还的资金数额。

其计算公式如下:

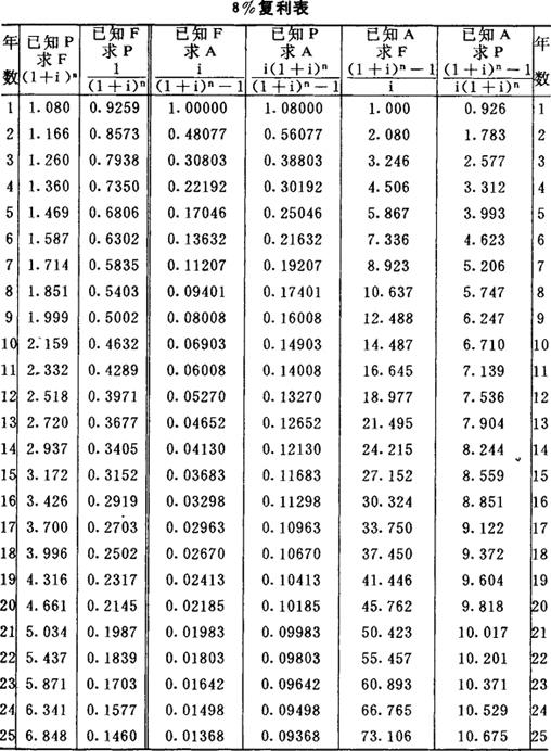
式中:A表示偿还年金,P表示一次借款额,i表示利率,n表示计算复利期数。为资金还原系数或投资回收系数,可从复利表查得(见附表)。

在进行长期投资决策时,通常需要计算和比较不同方案的偿还年金。

附表

随便看

 

离鸟网收录3541549条中英文词条,其功能与新华字典、现代汉语词典、牛津高阶英汉词典等各类中英文词典类似,基本涵盖了全部常用中英文字词句的读音、释义及用法,是语言学习和写作的有利工具。

 

Copyright © 2004-2024 vtrois.com All Rights Reserved
更新时间:2026/5/28 19:59:18