网站首页  词典首页


请输入您要查询的字词:

 

字词 羟胺
类别 中英文字词句释义及详细解析
释义
羟胺

羟胺qiangan

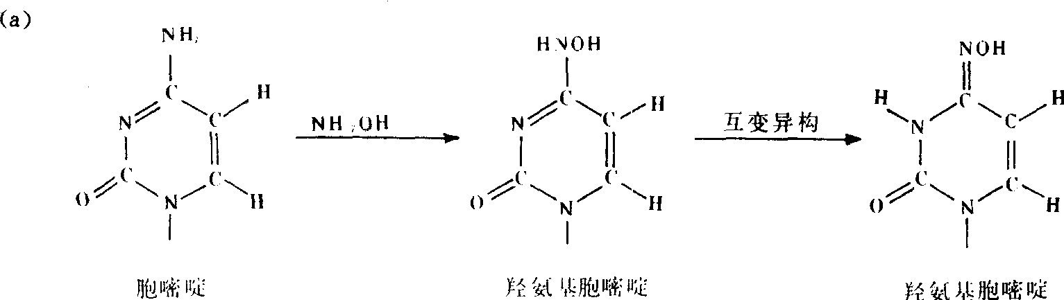
分子式NH2OH,是一种化学诱变剂。通过修饰胞嘧啶(C),使在DNA合成过程中碱基发生错配,导致GC对转变为AT对,从而诱发基因突变。人工诱变基因是创造动植物或微生物新类型的一种手段(图606)。


图606 羟胺的诱变作用
(a)在胞嘧啶上加1个羟基,生成羟氨基胞嘧啶。
(b)此修饰胞嘧啶进行互变异构反应,
使之可与腺嘌呤(A)配对。
(c)结果在合成DNA
时用AT对代替了GC对

☚ 乙烯亚胺   硫酸二乙酯 ☛
00003809
随便看

 

离鸟网收录3541549条中英文词条,其功能与新华字典、现代汉语词典、牛津高阶英汉词典等各类中英文词典类似,基本涵盖了全部常用中英文字词句的读音、释义及用法,是语言学习和写作的有利工具。

 

Copyright © 2004-2024 vtrois.com All Rights Reserved
更新时间:2026/5/26 10:03:35