网站首页  词典首页


请输入您要查询的字词:

 

字词 傅立叶变换
类别 中英文字词句释义及详细解析
释义 傅立叶变换

11.2.1 傅立叶积分的几种形式

设函数f(x)在无穷区间(-∞,+∞)上绝对可积,定义f(x)的傅立叶积分为

若f(x)的傅立叶积分满足收敛的条件,则傅立叶积分有以下几种形式:

❸ 若f(x)是偶函数,则

❹ 若f(x)是奇函数,则

11.2.2 傅立叶变换

定义:设函数f(x)满足

存在:f(x)在(-∞,∞)上满足狄利克莱条件即f(x)只有有限个极值点,只有有限个第一类间断点,则存在

称F(ξ)为f(x)的傅立叶变换,第二式称为傅立叶变换的反演公式。

傅立叶变换的性质:设f(x),g(x)的傅立叶变换分别是F(ξ),G(ξ),则

线性 af(x)+bg(x)的傅立叶变换是aF(ξ)+bG(ξ)。

卷积 f(x)*g(x)=的 傅立叶变换是F(ξ)·G(ξ)。

翻转 f(-x)的傅立叶变换是F(-ξ)。

共轭 的傅立叶变换是

时移(延迟) f(x-x0)的傅立叶变换是

频移(调频) F(ξ-ξ0)是的傅立叶变换(ξ0是常数)。

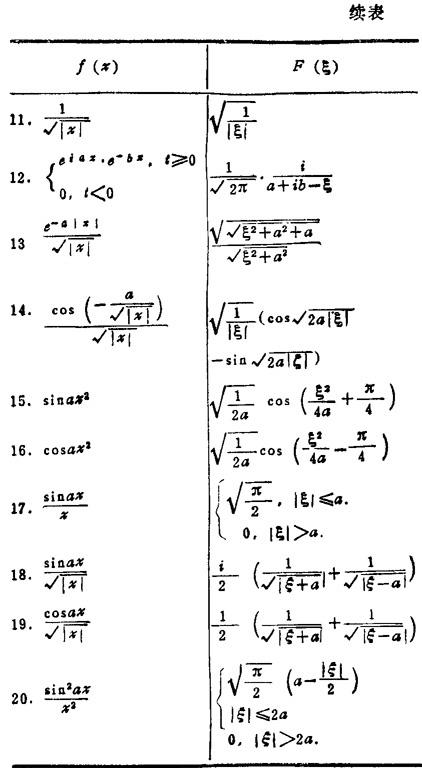
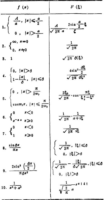
11.2.3 傅立叶变换表

见表1.1-16。

表1.1-16 傅立叶变换表

随便看

 

离鸟网收录3541549条中英文词条,其功能与新华字典、现代汉语词典、牛津高阶英汉词典等各类中英文词典类似,基本涵盖了全部常用中英文字词句的读音、释义及用法,是语言学习和写作的有利工具。

 

Copyright © 2004-2024 vtrois.com All Rights Reserved
更新时间:2026/4/7 9:46:10