网站首页  词典首页


请输入您要查询的字词:

 

字词 储蓄积零成整存款每月存储金额
类别 中英文字词句释义及详细解析
释义 储蓄积零成整存款每月存储金额

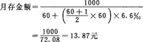
指在银行储蓄所开立积零成整定期存款户的储户每月应存储的存款数额。其计算公式:

式中:

〔例〕某储户办理五年期积零成整储蓄,月利率6.6‰,要求到期支取本息1000元。则:

随便看

 

离鸟网收录3541549条中英文词条,其功能与新华字典、现代汉语词典、牛津高阶英汉词典等各类中英文词典类似,基本涵盖了全部常用中英文字词句的读音、释义及用法,是语言学习和写作的有利工具。

 

Copyright © 2004-2024 vtrois.com All Rights Reserved
更新时间:2026/5/31 23:18:20