网站首页  词典首页


请输入您要查询的字词:

 

字词 肌苷酸
类别 中英文字词句释义及详细解析
释义

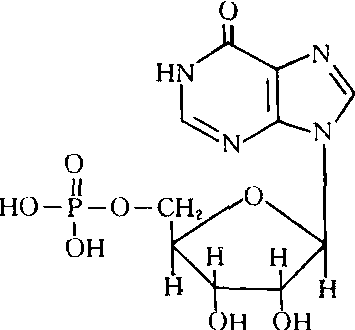
肌苷酸inosinic acid

又称次黄苷酸、一磷酸次黄苷(inosinemonophosphate)。由次黄嘌呤、核糖和磷酸组成的5′-核苷酸。缩写符号为IMP。结构式如下。是生物体内各种嘌呤核苷酸从头合成过程中首先合成的一种嘌呤核苷酸,然后再转变成其他嘌呤核苷酸。出现在某些tRNA中,作为反密码子中的一个核苷酸。广泛存在于肉类中,由ATP降解产生。其钠盐为无色结晶或白色粉末,有特异的鲜鱼味,易溶于水。在食品上作鲜味剂,与鸟苷酸钠及谷氨酸钠混合使用,可使味精的鲜度提高数倍。在医药上用于治疗多种肝病、心脏病以及血小板和白细胞减少症。

肌苷酸

又称“次黄苷酸”。为次黄嘌呤核苷酸,其碱基组分是次黄嘌呤。

随便看

 

离鸟网收录3541549条中英文词条,其功能与新华字典、现代汉语词典、牛津高阶英汉词典等各类中英文词典类似,基本涵盖了全部常用中英文字词句的读音、释义及用法,是语言学习和写作的有利工具。

 

Copyright © 2004-2024 vtrois.com All Rights Reserved
更新时间:2026/4/7 3:40:09