网站首页  词典首页


请输入您要查询的字词:

 

字词 股价平均数
类别 中英文字词句释义及详细解析
释义
股价平均数

股价平均数

股票价格平均数的简称,是以平均股价的形式、以货币为单位的一类股价指标。通过这类指标可以反映出计算期股票价格平均水平相对于基期股价平均水平的变动情况。
股价平均数不同于平均股价,不是计算期股票平均交易价格的直接表现,只是其相对表现。正因为是相对表现,才具有不同时期之间的可比性和计算口径的连续性。股价平均数也不同于股票平均市值,不是计算期股票平均市场价值的直接体现,只是它的相对表示。从此意义上说,股价平均数实际上是带有基期的;基期不同,同一计算期同一计算范围的股价平均数也会不相同。股价平均数之所以不同于现实的平均股价和现实的股价平均市值,是因为它的设计指导思想要求保持不同时期之间股价计算口径的一致性与可比性,遇有不可比因素出现就要相应进行修正。最初是修正股价,后来又改变为修正除数。不可比因素是指股票市场价值变动之外的其他因素,如某种选为成份股的股票发生拆细或合并,新股上市、旧股离市、公司兼并、无偿配股、有偿优惠配股以及私募或公开发行的增资扩股等,都可能带来不可比因素,需要进行相应的修正。修正的一般方法是按下式计算新的除数:


就股价算术平均数而言,修正除数的计算公式为:


对于按成交量加权的股价加权平均数来说,修正除数的计算公式为:


对于按上市量加权的股价加权平均数来说,修正除数的公式为;


例如,对于以225家公司的股票为成份股、采取算术平均方法计算的日经股价平均数来说,当某一成份股发生除权活动时,就需要按下式修正其除数:


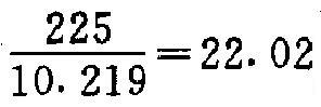
因而225家公司的每一次除权,都使日经股价平均数的除数缩小。到1990年12月31日,该除数已由最初时的225缩小为10.219。换言之,该日的日本日经股价平均数已经达到同一天225家成份股公司实际算术平均股价的倍。由此可见,绝不可把股价平均数与平均股价相混淆。
☚ 股价指标   股价算术平均数 ☛
00000924
随便看

 

离鸟网收录3541549条中英文词条,其功能与新华字典、现代汉语词典、牛津高阶英汉词典等各类中英文词典类似,基本涵盖了全部常用中英文字词句的读音、释义及用法,是语言学习和写作的有利工具。

 

Copyright © 2004-2024 vtrois.com All Rights Reserved
更新时间:2026/5/27 10:51:20