网站首页  词典首页


请输入您要查询的字词:

 

字词 肾上腺皮质激素拮抗药
类别 中英文字词句释义及详细解析
释义
肾上腺皮质激素拮抗药

肾上腺皮质激素拮抗药

肾上腺皮质激素拮抗药有甲吡酮、氨基导眠能和双氯苯二氯乙烷。
甲吡酮 甲吡酮,或称双吡啶异丙酮,SU4885,为一种11β-羟化酶抑制剂,可能对


图1 甲吡酮的结构式

17,18,19位的羟化也有抑制作用,其化学结构见图1。在此药作用下,11β-脱氧皮质酮转变为皮质酮以及11-脱氧皮质醇转变为皮质醇,受到一定程度的抑制,致皮质醇和醛固酮的合成减少。临床上甲吡酮可用于:
❶探查垂体-肾上腺皮质储备功能:在甲吡酮作用下,皮质醇合成减少,血内含量下降,对下丘脑-垂体的反馈抑制作用减弱,垂体分泌ACTH增强,因而肾上腺皮质受到兴奋,各种皮质类固醇分泌增加,但由于11β-羟化受抑制,故产生的皮质类固醇主要限于11β-脱氧皮质醇和11β-脱氧皮质酮一类,而这些化合物在测定尿17-羟皮质类固醇和17-生酮类固醇时也可被测得,因此在用甲吡酮试验时通过测定24小时尿17-羟皮质类固醇和17-生酮类固醇,也能间接地反映出垂体分泌ACTH的功能,测血浆内11-脱氧皮质醇含量也是一项有价值的指标。如果应用甲吡酮后,17-羟皮质类固醇、17-生酮类固醇或血浆11-脱氧皮质醇有较明显的升高,提示垂体分泌ACTH功能正常; 反之,说明垂体分泌ACTH功能减退。甲吡酮试验对探查垂体储备功能减退的价值较大。此外,甲吡酮试验对鉴别皮质醇增多症的病原也有一定价值,如服药后尿17-羟皮质类固醇或17-生酮类固醇反应增强,提示病原为增生,反应减弱提示病原可能为肿瘤,但结节性增生病例也可能无反应。在观察垂体储备功能时,要首先除外原发性肾上腺皮质功能减退的存在。
❷可用于治疗增生型皮质醇增多症,一般用量为每天1~2g。使用初期,除可能产生胃肠道副作用外,还可因肾上腺分泌雄激素增多,引起多毛。为减少甲吡酮用量起见,可以和氨基导眠能联合使用,这样用药量可适当减少,副作用也可有所减轻。甲吡酮可使血浆皮质醇含量降低,皮质醇增多症的临床表现可好转,但由于不能抑制ACTH的释放,故只能作为肾上腺切除前或垂体照射前的一种准备手段,目的是改善病情,有利于手术的进行。
氨基导眠能 氨基导眠能是导眠能的衍生物,对肾上腺皮质组织除使线粒体断


图2 氨基导眠能的结构式

链酶活性减少外,其他无明显破坏作用,但可使具生物活性的肾上腺皮质激素分泌减少。其化学结构式见图2。其主要作用有以下二方面:
(1) 抑制胆固醇的20α-羟化作用,使胆固醇转变为孕烯醇酮量减少,从而使皮质醇、醛固酮和雌激素及其前体的合成受阻。
(2) 氨基导眠能在外周组织中和细胞色素P450结合,从而阻断类固醇的芳香化作用,使孕烯醇酮等不能转变为雌酮和雌二醇。因此在应用氨基导眠能时,可使体内有活性的类固醇激素合成减少,能起到内科切除肾上腺的作用。由于氨基导眠能的前一种作用,临床上可试用于:
❶某些不宜用手术治疗的原发性醛固酮增多症和少数自主性腺瘤引起的皮质醇增多症;
❷于严重柯兴病作手术治疗或照射前应用,能使病情缓解,增加手术的安全性;
❸和针对垂体的治疗方法合并应用,使氨基导眠能抑制皮质醇分泌后引起的ACTH分泌减少,用于治疗柯兴病;
❹由于氨基导眠能可迅速抑制皮质醇的合成,故可和缓慢起作用的op′-DDD合用,治疗肾上腺皮质癌。此外,由于氨基导眠能的后一种作用,使此药能有效地对转移性乳房癌起到姑息作用。常用量为每天1~1.5g。急性应用氨基导眠能可使皮质醇减少,但持续服药由于垂体代偿性产生ACTH增多,皮质醇抑制作用减弱,甚至可恢复正常,称为“逃逸”现象。因此,为了使肾上腺皮质持续受到抑制,宜同时替代一定剂量糖皮质激素以防止ACTH的代偿性增多,必要时需合用盐皮质激素,以免失钠过多。于分别合用不同剂量皮质醇后进行比较观察,发现在应用氨基导眠能1g、合并应用皮质醇40mg时,可对垂体分泌ACTH能起到最大的抑制作用。
在临床应用中,观察到每天使用氨基导眠能1g时,对胆固醇的20α-羟化作用的阻断只是部分性的,又由于氨基导眠能对3β-羟-类固醇脱氢酶的作用,使肾上腺内Δ5-类前体化合物,如孕烯醇酮、脱氢异雄酮等可以转变为孕酮、17羟-孕酮和Δ4-雄烯二酮,而氨基导眠能对C11、C21位羟化则具明显抑制作用,以致皮质醇、雌酮和雌二醇合成少,而有较多的Δ4-雄烯醇酮等物质可经旁路转变为睾酮和二氢睾酮。因此,如无适当量糖皮质激素进行替代,以抑制ACTH的分泌,上述雄激素可明显增多,解释了服用氨基导眠能时可能出现多毛的原因。
氨基导眠能作用迅速,但不能根治病变,停用后作用即消失。副作用有食欲不振、皮疹、发热、嗜睡、共济失调和甲状腺功能减退等。
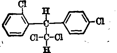
双氯苯二氯乙 烷 双氯苯二氯乙烷(op′-DDD) 为杀虫剂DDT的一种衍生物,此药直接作用于肾上腺的网状层和束状层起细胞毒作用,对球状层无明显影响。其化学结构见图3。狗在口服此药后,线粒体逐渐退化、消失,于服用op′-DDD治疗的肾上腺皮质癌患者,死后检查可见肾上腺皮质萎缩,细胞缩小,网状层可见出血或坏死。体外研究发现,op′-DDD可使葡萄糖-6-磷酸脱


图3 双氯苯二氯乙烷的化学结构式

氢酶活性受抑制,致肾上腺细胞内三磷酸吡啶核苷酸(为胆固醇裂链所必需的物质)产生和利用均减少,从而影响胆固醇转变为Δ5-孕烯醇酮。此外,op′-DDD也抑制琥珀酸脱氢酶及细胞色素氧化酶,使细胞内糖代谢的进行受到影响,致细胞呼吸受到抑制。op′-DDD在影响激素合成方面,除影响胆固醇转变为Δ5-孕烯醇酮外,还可阻碍11-脱氧皮质醇在C11位上的羟化,使皮质醇不易形成。对激素的外周代谢方面,op′-DDD使3β-羟-Δ5孕烯类转变为3α羟孕烷类化合物的酶系受抑制,因而皮质醇代谢为四氢化合物减少,但皮质醇在6位上羟化后转变为6β羟皮质醇则增多。由于后者在有机溶媒中不易溶解,故服用op′-DDD过程中测到的尿17-羟皮质类固醇值比实际产生的皮质醇值低。
op′-DDD为脂溶性,在皮下脂肪、脑等处积蓄量较高,在肾上腺皮质中含量尤为明显,因而对肾上腺皮质细胞能起溶解和破坏作用。口服后约60%以原型由大便排出,40%经吸水代谢后通过尿液排出体外。
op′-DDD对具有或无分泌功能的肾上腺皮质癌均可有效。对女性的疗效尤佳。临床上主要用于皮质癌已转移者,或虽经手术但未彻底切除者。近年来有人主张op′-DDD和其他疗法合用治疗柯兴病,也可获得一定效果。op′-DDD奏效缓慢,从服药开始,最少需连服4周以上才可获得一定效果。以往认为有效剂量应为6~10g,甚至大于10g以上,但最近观察发现停用此药后在组织及血浆中可持续存在数月之久,故认为一般每天治疗用量似不必超过6g,当超过4g时,宜适当补充糖皮质激素,必要时需同时合用盐皮质激素,以免发生肾上腺功能减退。判断疗效的标准是:
❶血皮质醇下降或尿17-羟排量减少;
❷肿块缩小;
❸临床病情好转,其中最重要的指标是肿块缩小。在服药过程中可能出现恶心、呕吐、食欲减退、腹泻、嗜睡、眩晕、眼球震颤,以及精神错乱等副作用,如上述症状过于严重,应适当减少用量,待病情比较稳定后,再逐步增加剂量。
☚ 安体舒通   肾上腺皮质疾病检查方法 ☛
00016512
随便看

 

离鸟网收录3541549条中英文词条,其功能与新华字典、现代汉语词典、牛津高阶英汉词典等各类中英文词典类似,基本涵盖了全部常用中英文字词句的读音、释义及用法,是语言学习和写作的有利工具。

 

Copyright © 2004-2024 vtrois.com All Rights Reserved
更新时间:2026/4/9 4:50:38