充分条件、必要条件、充要条件的判定
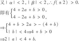
1.定义法——即运用充要条件的意义判断. 判断的关键是:正确运用定义(见表一). 表一  2.命题法——运用数学命题的条件与四种命题的内在联系进行分析判断判断的关键是:掌握四种命题的关系及表二. 表二  (3)集合法——运用集合的包含关系进行判断(见表三). 表三  例1 集合A={x|x+1>0},B={x|x—2<0}则“x∈A∩B”是“x∈A或x∈B”的___条件. 解 充分不必要. 例2 已知关于x的实系数二次方程x2+ax+b=0有两个实数根α、β.证明:|α|<2且|β|<2是2|a|<4+b且|b|<4的充要条件,要求先证充分性. 证明 (1)充分性:由韦达定理,得 |b|=|α·β|=|α|·|β|<2×2=4. 设f(x)=x2+ax+b,则f(x)的图象是开口向上的抛物线.  (2)必要性: 由 即 即f(±2)>0,|b|< ,又f(x)的图象是开口向上的抛物线. ∴方程f(x)=0的两根α、β同在(—2,2)内或无实根. ∵α、β是方程f(x)=0的实根, ∴α、β同在(—2,2)内, 即|α|<2且|β|<2是2|a|<4+b且|b|<4的充要条件. |