网站首页  词典首页


请输入您要查询的字词:

 

字词 光压力
类别 中英文字词句释义及详细解析
释义 光压力

光对物质产生的压力,它在光的电磁理论发展过程中和有关天体物理中(包括现已证明,在有关恒星极限体积的问题中)起重要作用。

开普勒在解释彗星尾巴的形状时就提出光压力的说法。在关于光的本性讨论过程中,牛顿提出的微粒说也暗示著存在光压力。认为投射到物体表面的光粒子,它的一部分动量传给了物体时便产生压力。

杨氏干涉实验证实了光的波动性,麦克斯韦的电磁波理论进一步证明了光是电磁波,同时推断出光辐射对物体产生压力的结论,并且算出了它的数值。

光波是横电磁波,入射光波的电磁场在物体表面产生与电矢量方向相同的感生电流。光能本身的磁场按照安培定律与这电流相互作用,形成了对物体的作用力,即光压。

其数值大小与光强度有关,作用力的方向与光波传播方向相同。假定入射的是平行光束,当物体是绝对黑体时,它受到的光压力P等于光能量密度u;当物体表面对光辐射的反射率为R时,受到的压力P=u(1+R);反射率R=1的理想镜面反射体,受到的光压P=2u。

假定垂直入射至物体表面每平方厘米面积上的辐射能量是E,相应的能量密度u=E/c(式中c是光速)。最后得到的光压P表达式是:

根据光的微粒说,光子对物体传递动量产生了压力。假设频率v的单色光正入射到物体表面,光子的动量是hv/c。能量为E的光束中包含的光子数目N=E/hv。

物体单位表面积得到的动量就是作用在这个面上的压力,即

如果物体表面的反射率等于R,则入射的N个光子中有(1-R)N个被表面吸收,有NR个被反射。被反射的光子其动量变化是2hv/c,物体相应地也获得相同数量的反冲动量。所以,物体受到的作用力P是:

它与由波动说得到的结果相一致。

1909年前苏联科学家列别捷夫第1次从实验上测量光压。

实验用的仪器是悬挂在细丝下的悬体,在它的两边上固定著一些薄而轻的小翅,其中一些涂黑色,一些则是光亮的。悬体放置在抽真空的容器内,然后用光学系统把从孤光灯发射来的光束聚焦照射悬体上的小翅。由于光压力的作用,悬体发生偏转,由此便也可以量度出光压力的数值。实验测量得到的光压数值,与由麦克斯韦理论计算值相符(准确到20%);另外,根据公式(1),光束照射到亮小翅时,对悬体产生的光压力应该是照射以黑小翅时的2倍,列别捷夫实验观察的结果也显示出这种关系。

激光器发明之后,人们可以在实验室得到极高亮度(比太阳亮度高亿万倍)的光源,很容易从实验中观察光压现象。在现有的激光技术水平,不难获得1017W/cm-2的光功率密度,它作用在物体表面,产生的光压强高达到1010Pa。此外,强激光束与物体相互作用时,还出现了一些先前不曾被研究过的力学现象,主要如下。

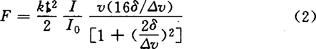
光学粘胶力 原子在两束或者多束交叉激光束中受到的合作用力。

处在一对相向传播激光束中的原子,它受到的光学粘胶力F为:

式中I0是饱和光强,表示原子两个能级之间的耦合程度;I是激光束强强度(I/I0《1);v是原子运动速度;△v是原子谱线自然宽度;Δ是激光频率偏离原子共振跃迁频率的值(即矢谐值);k是激光波数;h=h/2π,h是普朗克常数。

散射力 原子吸收光子而受到的压力。

原子吸收频率v1的光子跃迁到激发态,同时获得了动量hv1/c。

经过时间τ(τ是原子激发态寿命)原子跃迁至基态,发射出频率v0的光子,同时获得反冲动量hv1/c。

原子自发发射的光子在空间的分布是随机的,所以原子在作多次吸收和发射光子的动作之后,得到的反冲动量平均值为零。而获得了朝激光束传播方向的净动量,亦即原子受到与光束传播方向相一致的作用力,其数值F由下式给出

式中k是激光波数,v是原子的自发辐射速率。假定激光波长λ=500nm,原子自发辐射速率v=108S-1,那么原子受到的作用力约为6.7×10-20N,它比原子受到的重力还大得多(对于质量100个原子质量单位的原子受到的重力为1.66×10-23N)。

反冲压力 物体表面吸收了激光能量之后发生急剧汽化,形成冲击波而产生的挤压力。反冲压力P由下式给出

P=k·ρ0Du (4)

式中ρ0是物体材料初始密度,D是冲击波速度,u是物体表面蒸发物向外飞散速度,k是比例系数。

超声压力 物体受激光作用在内部产生高强度超声波而产生的压力。

一是在激光作用下物体局部区域温度迅速上升,引起体积膨胀,同时在其周界产生超声弹性振荡,产生压力。其数值P由下式计算

式中β是热膨胀系数,B是体积弹性模量,I是激光强度,τ是激光脉冲宽度,C是比热,k是材料的热导率,J是热功当量,ρ是材料的密度。

二是在激光作用下发生受激布里渊散射,同时伴随产生高强度的超声波,并产生压力。其数值P为

P=ρCI (6)

式中C是比热,ρ是介质密度,I是在光束传播方向产生的超声波强度,I值为

式中是声波频度,ω是激光频率,V是超声波速度,L是激光与物质相互作用长度,P1是斯托克斯分量强度,τ是激光脉冲宽度。

电致伸缩力 在激光电场作用下物体发生形变而产生的压力。其数值P由下式计算

式中是材料的力学常数,E是激光的电场强度。

光功率密度为ρ的激光束,相应的电场强度E为:

真空中的

光压力在科学研究和生产实践中起著重要作用。激光核聚变是20世纪未以来10年内的重大科学研究项目,光压力在这项研究中起著十分重要作用。根据核聚变的劳逊条件,如果要求获得100的增益,使用的激光能量要求高达100亿J,激光脉冲宽度是ns量级。

这样高的要求在技术上很难达到。后来美国科学家泰勒提出了压缩聚爆理论,通过压缩等离子体密度,可以大幅度地降低对激光能量要求,它们的关系是,这里的E是激光能量,n0是材料在通常状态的密度,n是材料的等离子体密度。

压缩等离子体体积的第一步便是靠光的压力;第二步是利用激光反冲压力。如果使用的激光功率密度是1017W·cm-2,那么,利用光的压力和光的反冲压力,对等离子体产生压强高达1016Pa,足可以使等离子体产生百倍以上的压缩。

1979年美国劳伦斯·利弗莫尔实验室利用高功率激光束照射铝靶,测量到对等离子体产生1TPa的压强;中国科学家在1988年利用输出功率1012W的LF-12激光装置进行实验,也观察到由激光在铝靶上产生4.9MPa的压强和对等离子体的压缩现象。

利用光压力能够把原子运动速度降低到接近零,相应地,原子被冷却到了接近于开氏温标零度。

现在利用激光照射钠原子,能够把它的由1000m/s初始平均运动速度迅速降低到30cm/s,相应地,钠原子的温度被降到240μK。利用光压力也能够使原子束偏转,目前在实验室已能够使钠原子束偏转7.7mm。

利用光压力能够捕捉单个原子;捕捉和控制有机体、细菌。比如利用一束氩离子激光和一束氦氖激光,能够捕捉、移动、转动长度为0.5μm和1.5nm的细菌。

利用光压力,有可能使物质的原子、分子重新排列。这项技术的发展远景是利用人工设计方法制造有特殊性能的材料和药物。

人们还设想利用光的力学效应设计制造新型加速器(称为光加速器),预计利用它加速相同能量的粒子,加速器的尺寸比现有的加速器小得多,而且它还能够加速中性粒子(现有的加速器则是没有加速中性粒子的能力)。

光加速器的研究现在也已获得进展,利用CO2激光器输出波长9.6μm和10.6μm的激光束,对中性粒子平均加速为0.3~1MeV/m,最大加速为2.8MeV/m。

。【参考文献】:

1 Sharma S B,Rieckhoff K E.Can J Phys,1970,48∶1179

2 王育竹,等.中国科学,1984,A:467

3 DaYid J,Wincland,et al.Phys today,1985,6∶34

4 Lettt P D,et al,Phys Rev Lett,1988,61∶169

5 顾援等.物理学报,1988,37∶239

6 徐国祥主编.实用激光医学.广州:广东高等教育出版社,1990

(雷仕湛撰)

随便看

 

离鸟网收录3541549条中英文词条,其功能与新华字典、现代汉语词典、牛津高阶英汉词典等各类中英文词典类似,基本涵盖了全部常用中英文字词句的读音、释义及用法,是语言学习和写作的有利工具。

 

Copyright © 2004-2024 vtrois.com All Rights Reserved
更新时间:2026/5/26 10:23:36