网站首页  词典首页


请输入您要查询的字词:

 

字词 胸腺嘧啶
类别 中英文字词句释义及详细解析
释义

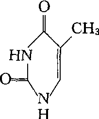
胸腺嘧啶thymine,Thy,T.

2,4-二氧-5-甲基嘧啶。结构式如下。是DNA中4种主要碱基之一,也存在于tRNA中,也是各种胸苷酸的组成分。其N1与脱氧核糖或核糖C1以β-糖苷键连接而成脱氧胸苷或胸苷。

胸腺嘧啶thymine

即5-甲基-2,4-二氧嘧啶,于DNA分子中。

随便看

 

离鸟网收录3541549条中英文词条,其功能与新华字典、现代汉语词典、牛津高阶英汉词典等各类中英文词典类似,基本涵盖了全部常用中英文字词句的读音、释义及用法,是语言学习和写作的有利工具。

 

Copyright © 2004-2024 vtrois.com All Rights Reserved
更新时间:2026/5/25 12:13:56