网站首页  词典首页


请输入您要查询的字词:

 

字词 克保松
类别 中英文字词句释义及详细解析
释义 克保松

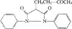
C19H18N2O3=322.36

CAS-853-34-9

4-(3-氧代丁基)-1,2-二苯基-3,5-吡唑烷二酮。

4-(3-Oxobutyl)-1,2-diphenyl-3,5-pyrazolidinedione.

消炎药。

Kebuzone,Ketazone,Recheton,Ketophenylbutazone.

INN,DCF,DCIT,JAN,USAN,MI.

随便看

 

离鸟网收录3541549条中英文词条,其功能与新华字典、现代汉语词典、牛津高阶英汉词典等各类中英文词典类似,基本涵盖了全部常用中英文字词句的读音、释义及用法,是语言学习和写作的有利工具。

 

Copyright © 2004-2024 vtrois.com All Rights Reserved
更新时间:2026/4/7 7:29:05