网站首页  词典首页


请输入您要查询的字词:

 

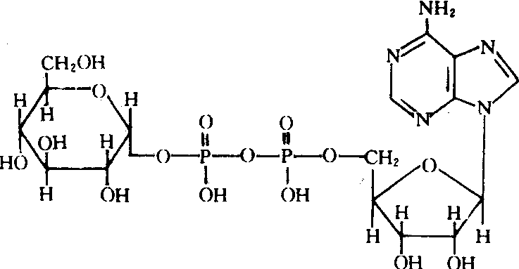
字词 腺苷二磷酸葡萄糖
类别 中英文字词句释义及详细解析
释义

腺苷二磷酸葡萄糖adenosine diphosphate glucose,ADPG

一种糖核苷酸。葡萄糖的半缩醛羟基与腺苷二磷酸的末端磷酸基之间去水缩合而成的化合物。结构式如下。在体内由腺苷二磷酸葡萄糖焦磷酸化酶催化合成,反应式为:葡萄糖-1-磷酸+腺苷三磷酸⇌腺苷二磷酸葡萄糖+焦磷酸。 存在于植物和细菌中,在淀粉和其他α-1,4-葡聚糖的合成中作葡萄糖基的供体,是植物体内淀粉合酶的主要底物。

随便看

 

离鸟网收录3541549条中英文词条,其功能与新华字典、现代汉语词典、牛津高阶英汉词典等各类中英文词典类似,基本涵盖了全部常用中英文字词句的读音、释义及用法,是语言学习和写作的有利工具。

 

Copyright © 2004-2024 vtrois.com All Rights Reserved
更新时间:2026/4/8 2:02:08