网站首页  词典首页


请输入您要查询的字词:

 

字词 克泻痢宁[中]
类别 中英文字词句释义及详细解析
释义 克泻痢宁[中]

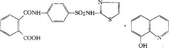
C26H20N4O6S2=548.6

N4-邻苯二(甲)酰磺胺噻唑与-8-羟基喹啉的缩合物。

Complex of N4-phthalylsulfanilamidothiazol with-8-hydroxylquinoline.

抗菌药。用于细菌性痢疾、肠炎及阿米巴痢疾等。

克泻磺,羟喹酞磺胺噻唑。

Oxyquinoline Phthalylsulfat hiazole, OxyquinolineSulfathalidine,Sulphanoline.

克泻痢宁片。

随便看

 

离鸟网收录3541549条中英文词条,其功能与新华字典、现代汉语词典、牛津高阶英汉词典等各类中英文词典类似,基本涵盖了全部常用中英文字词句的读音、释义及用法,是语言学习和写作的有利工具。

 

Copyright © 2004-2024 vtrois.com All Rights Reserved
更新时间:2026/4/6 18:16:40