网站首页  词典首页


请输入您要查询的字词:

 

字词 党参
类别 中英文字词句释义及详细解析
释义 党参

【概况】:

异名 上党人参(《本经逢原》),黄参(《百草镜》),东党、潞党(《全国中草药汇编》),纹党(四川)。

基源 为桔梗科党参属数种党参的根。党参属全世界约有40种;中国约有39种,药用有21种、4变种。

原植物 中国产正品党参主要有3种及1变种,即党参Codonopsis pilosula(Franch.)Nannf.素花党参C.pilosula Nannf.var.modesta(Nannf.)L.T.Shen。川党参C.tangshen Oliv.管花党参C.tubulosa Kom.

历史 “党参”之名,始见于《本草从新》,其后《纲目拾遗》、《植物名实图考》等都有记载,但清代以前此物即供药用,名紫团参,由于五加科的上党人参资源日趋减少,至明清已绝迹,太行山产的桔梗科党参及被利用起来,到《本草从新》始加区分,名曰“党参”。《本草从新》记载:“参须上党者佳,今真党参久已难得,肆中所市党参、种类甚多,皆不堪用,唯防党性味和平足贵,根有狮子盘头者真,硬纹者伪也。”《植物名实图考》记载:“党参山西多产,长根至二三尺,蔓生,叶不对节,大如手指,野生者根有白汁,秋开花如沙参,花青白色,上人种之为利,气极浊。”这与目前山西野生及栽培的党参形态相符。《中国药典1990年版》收载的党参的原植物有3种即党参、素花党参、川党参。而在西南应用较多的管花党参,现也收载《中药志》一书中。

形态 党参为多年生草质藤本。根肥大肉质,呈纺锤状圆柱形,较少分枝或中部以下略有分枝,长15~30cm,直径1~3cm,表面黄色,上端5~10cm,部分有细密环纹,而下部则疏生横长皮孔。茎基有多数瘤状茎痕,茎缠绕,长约1~2m,直径2~3mm,有多数分枝。

叶在主茎及侧枝上的互生,在小枝上的近于对生,叶柄长0.5~2.5cm,有疏短刺毛;叶片卵形或窄卵形,长1~6.5cm,宽1~5cm,先端钝或微尖,基部近于心形,两面疏或密地被贴伏的长硬毛或柔毛,边缘有波形钝锯齿,叶基部圆形或楔形。花单生于枝端,与叶柄互生或近于对生,有梗;花萼5裂,裂片宽披针形或狭长圆形,长1~2cm,宽约6~8mm,顶端钝或微尖;花冠钟状,长1.8~2.3cm,直径1.8~2.5cm,黄绿色,内面有紫斑,先端5裂,裂片正三角形;雄蕊5,花丝基部稍扩大,长约5mm,子房半下位,花柱短,柱头有白刺毛。蒴果圆锥形,种子多数,细小,卵形,棕黄色。花期8~9月,果期9~10月。

(图见《中国高等植物图鉴》.第4册.378页.图6169)

生境与分布 生于山地灌木丛中及林缘,宜生于富腐殖质的土壤。分布于中国东北、内蒙古、河北、山西、河南、陕西、甘肃、四川。

素花党参与党参的区别在于,叶片长成时近于光滑无毛;花萼裂片较小,长约为宽的2倍;花冠直径1.7~2cm,长在1.5cm以上,通常较花萼裂片为长。花果期7~10月。

生于海拔1500~3000m间的山地林下、林边及灌丛中。分布于四川西部、甘肃、青海。

川党参为草质藤本,长达3cm,除叶片两面密被柔毛外,全体几近于无毛。根肥大肉质,呈纺锤状或纺锤状圆柱形,中部以下略有分枝,长15~40cm,直径1~3cm,表面灰黄色。

茎缠绕多分枝。叶在主茎及侧枝上的互生,在小枝上的近于对生,叶柄长0.7~2.4cm;叶片卵形,窄卵形或披针形,长2~8cm,宽0.8~3.5cm,顶端钝或急尖,基部楔形或较圆钝,稀心形,边缘浅钝锯齿。

花单生于枝端,与叶柄互生或近于对生;花有梗,花萼5深裂,仅基部与子房合生,长圆状披针形,长1.4~1.7cm,先端急尖,微波状或近于全缘;花冠钟状,长约1.5~2cm,淡黄绿色内有紫斑,5浅裂,裂片近于正三角形;花丝基部微扩大,长7~8mm,花药长4~5mm;子房下位,直径0.5~1.4cm。蒴果圆锥形,直径2~2.5cm。

种子多数,椭圆状,细小,棕黄色。花果期7~10月。(图见《中国高等植物图鉴》.第4册.377页.图6167)生于海拔900~2300m间的山地林边灌丛中。现有大量栽培。

分布于湖北、湖南、陕西、四川。

管花党参为蔓生草本,高50~80cm。根中部以下略有分枝,长10~25cm,直径0.5~2cm,表面灰黄色。茎近无毛或疏生短柔毛。

叶对生或在茎顶趋于互生;叶柄极短,长1~5mm;叶片卵形、卵状披针形或窄卵形,长2~6cm,宽0.7~3cm,顶端急尖或钝,叶基楔形或较圆钝,下面灰绿色,通常被较密或较疏的短柔毛,边缘有浅波状锯齿或近于全缘。花顶生,花梗长1~6cm,被柔毛;花萼筒部半球状,与子房下半部合生,先端5裂,裂片阔卵形,长约1.2cm,宽约8mm,顶端钝,边缘有波状疏齿;花冠管状,长2~3.5cm,直径0.5~1.5cm,黄绿色,5浅裂,裂片三角形,先端尖;花丝长约1cm,被毛,基部微扩大,花药龙骨状;子房半下位,花柱有毛。蒴果顶端3瓣裂。种子细小,卵状,棕黄色。

花果期7~10月。(图见《中国高等植物图鉴》.第4册.378页.图6170)生于海拔1900~3000m间山地灌木林下及草丛中。

分布于四川、贵州、云南。。

【生药】:

栽培 宜温和凉爽气候,不耐酷热,怕水涝。

苗期需荫蔽,成株也不宜阳光太强。适于土层深厚、富含腐殖质而排水良好的砂质壤土栽培,忌连作。用种子繁殖,春播3~4月,秋播10月,将种子拌细土或草木灰后撒播或条播,行距10~15cm,每亩用种量约1kg。播后覆薄上,稍加镇压后再盖草。

幼苗出土后逐渐揭去盖物,并搭上荫棚。当苗高5cm时,结合除草松土进行分次间苗,每隔3~5cm留苗1株。

春播苗在当年秋季或次年春季移栽;秋播苗在次年秋季移栽。行株距20~25cm×8~10cm,条栽。

苗期宜勤除草,适时浇水,用稀薄水粪追肥2~3次。定植后,每年结合中耕除草追肥2~3次,苗高30cm以上时,应设立支柱或树条,以利蔓茎缠绕生长。

病害锈病,用0.3度的石硫合剂防治;根腐病,用50%托布津可湿性粉剂2000倍液淋灌。注意蛴螬、金针虫、蝼蛄、蚜虫等虫害的防治。

采集 9~10月采挖三年生以上的根,除去根上部分,洗净泥土,按大小分别用绳穿起,晒至半干,用手或木板搓揉,使皮部与木部贴紧,饱满柔软,然后再晒再搓,反复3~4次,至晒干。党参根据产地分为: ❶ 西党主产于甘肃文县、岷县、舟曲、武都、临潭,四川南坪、平武、松潘、若尔盖,陕西汉中、安康、商雒。其中以四川南坪、松潘,甘肃文县所产称晶党或纹党(过去商品)的品质最好。
❷ 东党主产于黑龙江五常、尚志、宾县,吉林延边、通化,辽宁凤城、宽甸。

❸ 潞党为栽培品主产于山西平顺、长治、壶关、晋城、黎城及河南新乡。此外内蒙古、河北、河南、青海等地有栽培生产。

❹ 川党参主产于四川、湖北及陕西接壤地区。
❺ 管花党参主产于贵州毕节、安顺、云南昭通、丽江、大理及四川南部、西昌、凉山。

鉴别

性状 ❶ 党参根类圆柱形,末端较细,有的分枝,长8~30cm,直径0.5~3cm;表面黄棕色或灰棕色;根头部有多数疣状突起的茎痕及芽痕(习称“狮子盘头”),野生品根头大茎痕多,栽培品根头小茎痕少,根头下有环状横纹,野生品多致密,栽培品稀少或无,全体有不规则纵沟并疏生横长皮孔,支根断落处常有黑褐色胶状物。质稍硬或略带韧性,断面稍平坦,皮部厚,黄白色,有裂隙,木部较小。气微香而特殊,味微甜。
❷ 西党香气较浓而味甜,东党及潞党气味稍淡。

以条粗壮、质柔润、味甜者为佳。
❸ 川党参根类圆柱形,末端渐细,很少有分枝,长15~35cm,直径0.5~2.5cm,根头部有“狮子盘头”;表面灰黄色,有明显纵皱沟,遍体或只顶端有较稀的横纹,支根脱落处有黑褐色类胶状物。

质较坚实,易折断,断面裂隙少,木部黄色,其外围有1圈浅棕色环,皮部淡黄色。

气香,味甜。
❹ 管花党参根类圆柱形,少有分枝,长12~25cm,直径0.5~1.8cm,根头部也有“狮子盘头”,根头下部略狭缩,有环状横纹或无,全体有多数不规则纵沟和纵棱,以及横长或点状显著突起的皮孔。质硬,易折断,断面皮部乳白色,木部黄色,孔隙少。

气微香,味微甜,嚼之有渣。

显微 ❶ 党参根横切面:木栓层为数列至10数列细胞,其间有石细胞,单个存在或数个成群。

皮层窄。韧皮部宽广,常有裂隙,乳汁管群淡黄色,常与筛管群交互排列。形成层成环。木质部导管单个散在或数个相聚,略呈放射状排列,向内渐稀少。

有的薄壁细胞含菊糖。(图见《中药志》.第2册.第2版.169页.图137) 粉末:黄白色。 ❶ 用水合氯醛液装置(不加热),菊糖团块扇形,表面现放射状纹理。
❷ 石细胞(木栓石细胞)多角形、类斜方形或稍延长,大多一端或一边尖突,直径24~51μm,孔沟稀疏。

❸ 具缘纹孔、网纹导管直经21~80μm,导管分子短。
❹ 乳汁管直径12~15μm,侧面由短的细胞链与另一乳汁管联结成网,管内充满油滴状物及细颗粒状物。此外木栓细胞类多角形、淀粉粒稀少。(图见《中药材粉末显微鉴定》.143页.图65)❷ 川党参和管花党参的根组织结构基本与党参类同,管花党参木栓层中无石细胞。

加工炮制 ❶ 米党参 取大米置锅内,用文火加热,倒入党参片,炒至大米呈老黄色,取出,筛去米,放凉。每100kg党参片,用大米20kg。

❷ 蜜党参 取炼蜜用适量开水稀释后,加入党参片拌匀,闷透,置锅内,用文火加热,炒至黄棕色并不粘手,取出,放凉。每100kg党参片,用炼蜜20kg。

贮藏 置通风干燥处,防蛀;蜜党参密闭,置阴凉干燥处。。【化学】:

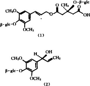
潞党参(Codonopsis pilosola)根含多量皂甙、蔗糖、葡萄糖、菊糖、淀粉、粘液、树脂等;用气质联用数据系统检测,可出现68峰,其中有乙苯(Ethylbenzene)、苯乙酮(Acetophenone)、苯丁酮(1-Phenyl-2-butanone)等[1];蒲公英萜醇乙酸酯(Taxaxeryl acetate)、木栓酮(Friedelin)、脲基甲酸正丁酯(N-Butyl allophanate)[2],豆甾烯醇(△7-Stigmasterol)[3],菠甾醇(α-Spinasterol)[4];氨基酸:苏氨酸、门冬氨酸、异亮氨酸、丙氨酸、门冬酰胺、谷氨酸、甘氨酸、丝氨酸、脯氨酸、缬氨酸、谷氨酰胺[5,6];Fe、Cu、Co、Mn、Zn、Ni、As、V、Mo[7]、K、Na、Mg等元素[8];菠甾醇葡萄糖甙(α-Spinasteryl-D-glucoside)[9]、多糖、果糖、半乳糖、阿拉伯糖、甘露糖、鼠李糖、木糖、核糖[10];苍术烯内酯(Atractylenolide)Ⅱ(即Asterolide)、Ⅲ(即8-β-Hydroxyasterolide)、丁香醛(Syringaldehyde)、香草酸(Vanillic acid)、2-呋喃羧酸(2-Furancarboxylic acid)、丁香甙(Syringin)、正己基β-D-吡喃葡萄糖甙(N-Hexylβ-Dglucopyranosie)、乙基D-呋喃果糖甙(Ethyl-α-Dfractofuranoside)、烟酸(Nicotinic acid)、5-羟基-2-吡啶甲醇(5-Hydroxy-2-pyridine methanol)等[11],党参甙Ⅰ(Tangshenoside Ⅰ)[12];棕榈酸甲酯、△5,22豆甾烯醇及其-β-D-葡萄糖甙等[13],黑麦碱(Perlolyrine)[14]

川党参(C.tangshen Oliv.)根含丁香甙(Syringin)、党参甙(Tangshenosides)Ⅰ(1)、Ⅱ(2)、Ⅲ(3)、Ⅳ(4)[15,16],各种己基甙类、己烯基甙类、十四碳烯炔糖甙类物质[17],多糖、微量元素等[7]

管花党参C.tubulosa Rom.根亦含有糖类、无机元素等[7]

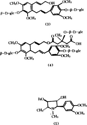
新疆党参C.clematidea(Schrenk)Clarke中含党参碱(Codonopsine)(5)[18]、党参宁(Codonopsinine),具降压作用[19]

各种党参的成分和药理研究概况有综述[20,21]

参考文献 [1] CA 1986;104∶155785e [2] 中草药 1982;13(1)∶1,CA 1984;101∶157526c [3] Planta Med 1983;49(1)∶60 [4] CA 1983;98∶221673x [5] 中草药 1982;13(10)∶442 [6] 中草药 1986;17(3)∶105 [7] 中草药 1987;18(1)∶16 [8] 中草药 1985;16(6)∶244 [9] CA 1983;98:221673x [10] 中草药 1987;18(3)∶98 [11] CA 1989;111∶12386d [12] 中草药 1987;18(3)∶2 [13] 中草药 1985;16(7)∶295 [14] 刘暾研究生论文.卫生部药品生物制品检定所,1988 [15] Chem Pharm Bull 1988;36(7)∶2689,2726 [16] Phytochemistry 1990;29(6)∶1989 [17] 中草药 1991;22(9)∶422 [18] 天然产物化学.科学出版社,1993∶165 [19] Dictionary Alkaloids.Chapman and Hall,1989∶234(C-00312) [20] 天然产物研究与开发,1994;6(1)∶70~75 [21] 中国中药杂志,1991,16(6)∶376。【药理】:

❶ 对中枢神经系统的作用 早期虽有学者报道党参酊剂、煎剂或浸剂能兴奋中枢神经系统[1,2],但最近大多数研究却表明党参有显著的中枢抑制作用。

党参注射液(水提醇沉,每1ml相当于生药1g)0.2ml/10g ip能显著减少小鼠的自发活动次数,明显推迟硝酸士的宁、戊四氮所致小鼠惊厥的出现时间、死亡时间,减少惊厥死亡数及提高小鼠电惊厥阈值[3]。也有人报道潞党参(Codonopsis pilosula,以下未注学名者同此)的水浸物1,5g/kg和醇提物0.2,2g/kg,对硝酸士的宁所致惊厥无影响,故认为党参的抗惊厥作用部位可能在背髓以上脑区[4]。党参水提物1.25~10g/kg,ip(1g相当于生药4.6g)和醇提物0.15~2.5g/kg,ip(1g相当于生药33.3g)对小剂量的中枢抑制剂如戊巴比妥钠、氯丙嗪呈协同作用,增强两者的催眠或镇静作用;当氯丙嗪剂量较大时则表现对抗其镇静作用[4]。小鼠自由饮用10~20%的党参水提物15d或ig党参煎剂0.3,0.6g/10g,连续7d可增进小鼠的学习记忆过程。水迷路实验发现上剂党参制剂对小鼠的信息获得及巩固均有一定的促进作用[4]。党参部位提取物Ⅰ~Ⅴ(Ⅰ:石油醚提取物;Ⅱ:乙酸乙酯提取物;Ⅲ:皂甙部分;Ⅳ:碱性氯仿提取物;Ⅴ:水提取物)并不是对清醒家兔脑电图都有作用。

iv给药时仅部位Ⅲ(100~250mg/kg)使脑电图出现高幅慢波;脑室给药时,仅部位Ⅱ(0.75~10rng)、部位Ⅲ(1~5mg)及水溶皂甙(2.5~5mg)对脑电图有作用,因而认为部位Ⅲ是党参影响家兔脑电图的主要有效部位[6]
❷ 抗炎、镇痛作用 用醋酸扭体法观察到潞党参的甲醇提取物1g(生药)/kg,ip有明显的镇痛作用,文党、板桥党(学名同前)则无此作用;潞党和板桥党还有明显的抗炎作用,po甲醇提取物2g(生药)/kg对大鼠角叉菜胶性足趾水肿有明显的抑制作用[7]

国内也有人报道给小鼠ig100%的党参水煎剂0.5ml可防止巴豆油引起的小鼠耳廓肿胀[8]
❸ 心血管作用 党参醇提液1g/kg iv,使麻醉犬呼吸兴奋,血压下降[12]

党参碱20mg/kg以上,iv可使猫血压下降[52]。100%的党参水煎醇沉注射剂0.1ml(每1ml含生药1g)能明显抑制离体蛙心收缩[11,12]

麻醉猫iv党参注射剂2g/kg能提高心输出量,增加脑下肢及内脏血流量[8]。心衰病人应用党参、黄芪注射液或煎剂也可明显改善心功能[13]

100%党参注射液给兔iv1ml/kg,大鼠iv2ml/kg对实验性心肌缺血有明显的保护作用,可改善垂体后叶素引起的T波改变和ST段位移,但对垂体后叶素引起的心律失常并无明显影响[14]

晚期失血性休克家兔iv注党参水煎醇沉注射剂20~25ml后动脉血压回升,中心静脉压下降,心率轻度减慢,并使晚期失血性休克动物存活时间延长[15]

党参水提液(1g/ml)5~80μlig,对大鼠心肌细胞磷酸二酯酶有抑制作用;也可使大鼠心肌细胞cAMP含量明显升高[5]
❹ 对血液系统的作用 党参水醇浸膏,煎剂或党参粉均可使家兔红细胞增多,白细胞总数降低,但中性白细胞增多,而淋巴细胞降低,口服较皮下注射作用明显。切除脾脏后党参尚有增加红细胞的效应,但白细胞不减,分类亦无明显变化[11]。另有报道,家兔每天ig党参煎剂2g/kg。

连续3d,红细胞与白细胞均减少。如ig5g/kg,则可显著升高白细胞,而红细胞数略为减少[9]。党参水提醇沉注射剂20~120mg/ml在体外对ADP诱导的家兔血小板聚集有抑制作用和解聚作用,但解聚作用弱于抑制作用[16,17]。党参水提液36g/kg ig,对ADP诱导的大鼠血小板聚集有抑制及解聚作用[10]

党参黄芪注射液(1∶1)对血小板伪足形成及颗粒释放亦具一定的抑制作用,可使血小板内环核苷酸含量增加,以cAMP增加更为显著,并可抑制磷酸二酯酶活性[17]。家兔iv党参水提醇沉注射液1∶1浓度1ml/kg还可使血栓重量减轻,全血和血浆比粘度下降[18]
❺ 对胃肠运动的影响及抗溃疡作用 党参水煎剂1.5,15mg(生药)/ml可使离体兔小肠紧张性升高,收缩幅度变小[19]

党参水煎剂5~40mg(生药)/ml对离体豚鼠回肠有抑制和兴奋两种作用,可使离体回肠张力升高或先降低后升高,收缩幅度变大,频率变慢.并能持续较长时间。

收缩活动与药物浓度有一定关系,药物浓度增加,肠管张力也增加。该制剂对5-羟色胺引起的肠管收缩有明显的拮抗作用,但对乙酰胆碱引起的肠管收缩无明显作用[20]

党参水煎醇沉剂[21]10~80g/kg,ig或十二指肠内给药、正丁醇提取物[22]0.32~10g/kg,十二指肠内给药、党参多糖[23]50~500mg/kg,po对大鼠应激性、幽门结扎性、消炎痛或阿斯匹林等诱发的大鼠实验性溃疡均有显著的预防、保护和促进愈合作用;对抗消炎痛和阿斯匹林引起的大鼠腺、胃部粘膜PGE2和氨基己糖含量下降,对胃酸基础分泌和毛果芸香碱引起的胃酸分泌增加均有抑制作用,同时使胃液中PGE2含量升高。党参部位提取物Ⅶ-Ⅱ口服或十二指肠给药能显著提高正常或幽门结扎大鼠胃壁结合粘液量,减轻无水乙醇引起的大鼠胃粘膜损伤和胃粘膜电位差下降,提高正常大鼠胃组织内PGE2含量。剂量在10~40g(生药)/kg之间有明显的量效关系[24,25]
❻ 免疫促进和免疫调整作用 党参煎剂及党参多糖均可增强巨噬细胞的吞噬功能。以党参煎剂0.5ml给小鼠ig 1~2wk,可使iv131碘化血浆蛋白胶体颗粒的廓清速度明显加快[26]。两者均可增强小鼠腹腔巨噬细胞对鸡红细胞的吞噬力和吞噬指数,提高E-花环形成率[27,28]

党参注射剂给小鼠ip0.2ml,im0.1ml或iv0.2ml,连续7d后,巨噬细胞数量明显增加、体积增大、伪足增多、吞噬能力增强。进而用细胞组织化学方法证明,党参能使巨噬细胞内DNA、RNA、糖类含量及酸性磷酸酶、ATP酶、酸性酯酶和琥珀酸脱氢酶活性提高[29]。党参水煎剂在体外还可促进刀豆蛋白A活化的脾淋巴细胞DNA和蛋白质的生物合成,促进白介素-2(IL-2)的产生。其促进DNA合成的最适浓度为100μg(生药)/ml[30]

小鼠ip党参醇提物30g(生药)/kg能明显增强被氢化考的松抑制的巨噬细胞吞噬活力;剂量降低至3g(生药)/kg作用仍很显著[31]。党参水煎剂20g(生药)/kg每日ig,连续7d,可减轻环磷酰胺引起的小鼠外周血白细胞减少,其升高率为62.6%[32]。党参醇水提取物0.6g/kg ig,连续9d,对正常免疫状态下的小鼠免疫增强作用不明显,但对环磷酰胺处理后免疫受抑的小鼠能明显增强淋巴细胞转化和抗体形成细胞的功能,提高血凝抗体滴度,说明党参在体内对细胞免疫和体液免疫可能起免疫调整作用[33]。党参水煎剂4~28mg/kg可抑制人淋巴细胞有丝分裂,并有量效关系[34]

党参水煎剂14.1mg/ml对小鼠胸腺糖皮质激素受体无明显影响[35]

❼ 提高机体适应能力 党参水煎剂(30g/kg,po)[36]

水提醇沉注射剂(0.2~0.3ml/10g,ip,1ml相当于1g生药)[37]及党参多糖(103~206mg/kg,ip)[38]均能提高小鼠耐缺氧能力,降低整体耗氧量,延长常压及缺氧环境中的存活时间;还能延长氰化钾和亚硝酸钠中毒小鼠的存活时间,对小鼠双侧颈总动脉结扎所致脑循环障碍性缺氧也有明显的保护作用。表明党参可提高小鼠大脑氧的张力或降低脑组织氧耗速度,增强对心肌缺氧和脑缺血的耐受力。

❽ 抗放射线损伤作用 小鼠ig 100%的党参水煎剂0.2ml,给药3次,能提高600rad60Co射线(约为半数致死量)照射小鼠的存活率。小鼠照射前ig 100%的党参水煎剂0.5ml,用800 rad60Co射线照射,照射后15min时党参组较对照组血浆皮质酮水平有明显升高,在照射后4h、24h则有明显降低。说明党参对垂体-肾上腺皮质系统有兴奋和调节作用,这可能是抗辐射损伤的机理之一[40]

❾ 抗衰老及抗自由基作用 以20%党参水煎剂浸泡的桑叶喂养家蚕,其幼蚕期及全生存期均较对照组显著延长,说明党参有延长家蚕寿命作用[41]

采用化学发光法发现,赤峰党参(Codonopsis pilosula var.volubilis)和纹党参(Codonopsis pilosula)的各组分(Ⅰ:石油醚部分;Ⅱ:乙酸乙酯部分;Ⅲ:正丁醇部分;Ⅴ:80%醇沉部分;Ⅶ:氯仿部分)可提高人血超氧化物歧化酶活力,从而增强清除自由基的能力[42]。含有党参的复方液也有与党参类似的作用[43]

❿ 对内分泌系统的作用 用100%党参水煎剂2.5~25mg/kg sc能使小鼠血浆皮质酮明显升高[44,45],党参水煎剂40g/kg ig,20g/kg sc或ip,党参正丁醇提取物0.5g/kg iv,均能使小鼠血浆皮质酮含量显著升高,正丁醇提取物0.5g/kg还使血浆ACTH含量升高,并能对抗地塞米松的降血浆皮质酮作用,表明其作用部位在垂体或垂体以上水平[44]。100%党参注射剂sc.iv或ip均可使正常动物血糖升高,亦能使实验性胰岛素性低血糖显著升高,但不能使实验性肾上腺素性高血糖降低,因此推论,党参注射剂的升高血糖作用可能是其本身所含的大量糖份所致,而不是对血糖的调节作用[11]。 ⑾协同抗肿瘤作用 100%的党参水煎剂0.5ml(1ml相当于1g生药)ig,连续20d,与环磷酰胺20mg/kg ip,连续10d配伍应用,可使瑞士小白鼠皮下移植的Lewis肺癌和其他肺转移灶及荷瘤小鼠开始死亡时间推迟.平均存活时间延长,而且使动物半数死亡时间和全部死亡时间均延长,同时减小肿瘤体积和重量,明显减少肺转移灶,效果优于单用环磷酰胺[46]

含党参.黄芪、白术的复方对小鼠S180实体瘤增殖有明显的抑制作用。用单味药试验,仅白术有效[47]。 ⑿其它 党参水煎醇沉注射剂在降压同时伴有呼吸加快[9,11]

大鼠ig 10%党参提取物0.1~0.3ml/10g,可使排尿量下降28~47%[48]。党参花粉能提高大、小鼠肝脏耗氧量,促进肝脏代谢[49]

用四氯化碳造成C57小鼠肝损伤,同时喂饲含党参花粉的饲料,电镜观察发现,党参花粉明显减轻肝脂变,改善肝环死,抑制Disse腔及中央静脉下胶原纤维的形成。

说明党参花粉能有效地对抗四氯化碳所致的小鼠肝损伤[50]

党参花粉还具有免疫促进作用,增强巨噬细胞的功能[51]。党参煎剂0.5g/只ig,可使小鼠血浆及脾脏cAMP含量升高,肝组织cAMP含量下降[39]

毒性 党参煎剂ig或ip对小鼠的LD50分别为44.5及29.2g/kg;党参正丁醇提取物ip及iv对小鼠的LD50分别为7.6及1.7g/kg[44]。党参碱ip对小鼠的LD50为666~778mg/kg[52]

体外试验表明,党参水提物(去离子水浸泡1h,煮沸30min)在低浓度对中国仓鼠肺成纤维细胞染色体影响不大(1mg/ml):当大于5mg/ml时,细胞姐妹染色体互换率显著升高;在大于15mg/ml时,使细胞染色体畸变率升高[53]

参考文献 [1] CA 1969;71∶46712c [2] 高原医学专号 1984;(4)∶61 [3] 中药通报 1986;11(3)∶49 [4] 中草药 1987;18(7)∶19 [5] 中国中药杂志 1994;19(4)∶238 [6] 中草药 1984;15(8)∶9 [7] 生药学杂志(日) 1980;34(1)∶57 [8] 中西医结合杂志 1983;3(2)∶114 [9] 哈尔滨中医 1963;(3)∶43 [10] 中药药理与临床 1988;4(4)∶32 [11] 中药药理与应用 人民卫生出版社 1983;898 [12] 上海中医药杂志 1956;(1)∶36 [13] 中西医结合杂志 1986;6(2)∶75 [14] 中草药 1989;20(2)∶29 [15] 湖北中医杂志 1984;(6)∶51 [16] 中药通报 1984;9(4)∶38 [17] 中西医结合通讯 1984;(8)∶42 [18] 中药通报 1988;13(12)∶47 [19] 新医药学杂志 1974;12∶567 [20] 江苏中医杂志 1983;4(3)∶58 [21] 中西医结合杂志 1987;7(3)∶ 163 [22] 中药药理与临床 1990;6(1)∶19 [23] 中草药 1988;19(8)∶21 [24] 中药药理与临床 1990;6(2)∶11 [25] 中药药理与临床 1990;6(3)∶9 [26] 新医药学杂志 1974;(8)∶349 [27] 中国药理学通报 1989;5(6)∶376 [28] 兰州医学院学报 1988;(3)∶14 [29] 中西医结合杂志 1985;5(8)∶487 [30] 中国药科大学学报 1990;21(1)∶43 [31] 中药理论1986年全国学术会议论文及摘要汇编,1986∶140 [32] 中西医结合杂志 1992;12(2)∶99 [33] 中西医结合杂志 1985;5(12)∶739 [34] 中药通报 1985;10(3)∶40 [35] 北京医学 1988;10(5)∶294 [36] 西北药学杂志 1988;3(3)∶45 [37] 中药通报 1986;11(8)∶53 [38] 吉林中医药 1989;(5)∶35 [39] 中成药研究 1981;(11)∶41 [40] 中国人民解放军军事医学科学院院刊 1981;(3)∶303 [41] 辽宁中医杂志 1982(3)∶44 [42] 北京中医学院学报 1988;11(5)∶38 [43] 陕西中医学院学报 1990;13(3)∶45 [44] 中国药理学通报 1985;1(1)∶33 [45] 中国药理学通报 1986;2(6)∶25 [46] 中西医结合杂志 1985;(10)∶618 [47] 陕西中医 1987;8(2)∶90 [48] CA 1972;76∶94601r [49] 中药药理与临床 1987;3(增刊号)∶126 [50] 中国中药杂志 1989;14(3)∶42 [51] 昆明医学院学报 1989;10(1)∶38 [52] CA 1972;77∶135091r [53] 新疆中医药 1985;(4)∶40。【药性】:

性味 甘,平。

❶ 《本经逢原》:“甘,平。”
❷ 《本草再新》:“甘,平。”

归经 《得配本草》:“入手、足太阴经气分。”

功效 补中,益气,生津。

主治 脾胃虚弱,气血两亏,体倦无力,食少,口渴,久泻,脱肛。 ❶ 《本经逢原》:“清肺。”
❷ 《本草从新》:“补中益气,和脾胃,除烦渴。”
❸ 《纲目拾遗》:“治肺虚、益肺气。”
❹ 《科学的民间药草》:“补血剂。适用于慢性贫血,萎黄病,白血病,腺病,佝偻病。


❺ 《中药材手册》:“治虚劳内伤,肠胃中冷,滑泻久痢,气喘烦渴,发热自汗,妇女血崩,胎产诸病。”

用法用量 内服:煎汤,9~15g。

大剂30~60g;熬膏或入丸、散。

使用注意 有实邪者忌服《得配本草》:“气滞、怒火盛者禁用。”。【临床应用】:

配伍应用 ❶ 配熟地、治血虚,肺气不足及肾气虚。

❷ 配茯苓,治胃气虚之证。
❸ 配白术,治脾虚泄泻。

❹ 配黄芪,治脾肺气虚,气短乏力,食少便溏。

❺ 配黄芪、白术、升麻、柴胡,治中气下陷,脱肛,妇女阴挺。

❻ 配丹参,治气虚血热,心烦不寐,心悸,气短。
❼ 配熟地、天门冬,治气血不足,虚劳咳嗽。

方选和验方 ❶ 上党参膏(《得配本草》)清肺金,补元气,开声音,助筋力:党参500g,(软甜者,切片),沙参250g(切片),桂圆肉120g。水煎浓汁,滴水成珠,用瓷器盛贮。每用20g,空心滚水冲服,冲入煎药亦可。

❷ 参耆白术汤(《不知医必要》)治泻痢与产育气虚脱肛:党参(去芦、米炒)6g,炙耆、白术(净炒)、肉蔻霜、茯苓各4.5g,怀山药(炒)6g、升麻(蜜炙)1.8g,炙甘草2.1g。

加生姜2片煎,或加附子1.5g。
❸ 参耆安胃散(《喉科紫珍集》)治服寒凉峻剂,以至损伤脾胃,口舌生疮:党参(焙)、黄耆(炙)各6g,茯苓3g,甘草(生)1.5g,白芍2.1g,白水煎,温服。

❹ 填海川神丸(《冉氏经验方》)治神经衰弱:党参60g,山萸肉120g,山药60g,五味子30g,茯苓、益智仁、破故纸、大枣(去核)、川芎、菊花各60g。上为细末,炼蜜为丸,每丸重9g。每服1丸,每日2~3次,温开水送下。
❺ 二叶参苏加附子汤(《王九峰医案精华》)治产后鼻衄:党参、苏木各15g,附子9g。

水煎,每日1剂,分2次服。
❻ 四君子汤(《太平惠民和剂局方》)治脾胃气虚,运化力弱,面色白,语言轻微,食少便溏、四肢无力,脉缓弱或细软:党参12g,白术12g,茯苓12g,炙甘草6g。

水煎服。
❼ 骨劳汤(陶慕章经验方)治骨痨(骨与关节结核):党参240g,黄芪、地骨皮、山药、熟地、茯苓各120g,陈皮、甘草、当归各60g。

共煎成浓汁(鳖甲胶、鹿角胶各90g,混龟胶240g,共烊化加粗砂糖240g)。共熬成胶。

每日早晚各服10g。
❽ 熟复汤(《医学衷中参西录》)治下焦无气虚惫,相火衰微,致肾弱不能强,脾弱不能健运,或腰膝酸疼,或黎明泄泻,一切虚寒之症:党参、山茱萸、补骨脂(炒捣)各12g,乌附子、核桃仁各9g,生山药15g,茯苓、生鸡内金(捣细)各4.5g。

水煎服。
❾ 加味异功散(《方药中经验十三法》)治胸胁闷满,肋下隐痛,纳少便溏,舌淡苔薄白,脉濡细者:党参15g,苍术、白术各9g,茯苓30g,甘草6g,青皮、陈皮各9g,黄精30g,当归12g,丹参30g,鸡血藤30g,柴胡、姜黄、广郁金各9g,薄荷3g。每日1剂,每剂煎2次,隔日服1剂,或服2剂,隔1日。

❿ 加味参芪地黄汤(时振声方)治慢性肾炎,肾盂肾炎,属脾肾气阴两虚者:党参、生黄芪、生地各15g,山萸肉、山药各9g,丹皮6g,茯苓、泽泻、益母草各15g,白茅根30g,怀牛膝、车前子各9g。水煎服,每日1剂,日服2次。 ⑾《安徽中草药》:“治气血两亏:党参、炙黄芪各15g,白术、龙眼肉各9g。水煎加冰糖炖服。” ⑿《安徽中草药》:“治失眠,心悸,健忘:党参、远志、龙眼肉各9g,夜交藤12g,五味子3g。水煎服。” ⒀《安徽中草药》:“治慢性肾炎、蛋白尿:党参、黄芪、大蓟各12g,白茅根30g。水煎服。” ⒁《陕甘宁青中草药选》:“治热盛伤津:党参15g,竹叶、清半夏、麦门冬各9g,生石膏24g,甘草3g。水煎服。” ⒂《内蒙古中草药》:“治功能性子宫出血:党参30g,当归15g。水煎服。” ⒃《宁夏中草药手册》:“治贫血:党参9g,黄芪15g,枸杞子、当归各9g。水煎服。” ⒄《宁夏中草药手册》:“治肺虚咳嗽,不能平卧:党参9g,五味子6g,胡桃仁30g。水煎服。” ⒅《福建药物志》:“治脱肛:党参30g,升麻9g,甘草6g。水煎服。” ⒆《福建药物志》:“治腹泻、便溏:党参、茯苓、白术、炙甘草、莲子肉、诃子各9g,赤石脂15g。水煎服。” ⒇《青海省中医验方汇编》:“治小儿口疮:党参30g,黄柏15g。共为细末,吹撒患处。” (21)北京中医学院《新医疗法资料汇编》:“抑制或杀灭麻风杆菌:党参、重楼(蚤休)、制包头根皮(木根皮)各等量。将党参、重楼研成细粉;再将刺包头皮加水适量煎煮3次。将3次煎液浓缩成一定量(能浸湿党参、重楼细粉)的药液,加蜂蜜适量,再将重楼、党参细粉倒入捣匀作丸。

每丸9g重;亦可作成膏剂。日服3次,每次1丸,开水送服。 (22)参茜固经冲剂(中西医结合杂志1991;(71))治月经过多:党参12g,白术6g,升麻9g,生地12g,杭白菊9g,女贞子12g,旱莲草12g,茜草12g,生蒲黄12g,生槐米12g,大、小蓟各12g,生山楂12g。4包冲剂相当于1剂中药量,经前1周至月经干净期间服。

每次2包,每日2次,3个月经期为1疗程。 (23)参芪阿胶丸(中西医结合杂志 1987;(2))治病态窦房结综合征:党参、黄芪、阿胶、杞子。

疗程1个月。 (24)三参汤(中西医结合杂志 1989;(9))治顽固性室性早搏:苦参20g,丹参15g,党参20g,大枣6枚。

每日1剂,每周6剂为1疗程。 (25)参芪虎蚤汤(中西医结合杂志 1991;(8))治小儿慢性乙型肝炎:党参20g,黄芪、虎杖、蚤休各15g,板蓝根、女贞子各20g,贯众3g,山楂、首乌、菟丝子、平地木各10g。每日1剂,煎成150ml,每次50ml,连服6个月。

单方应用 浙江中医杂志 1986;(5):“治功能性子宫出血:党参30~50g。水煎煮,于经期或行经第一天起(连服5天),早晚各服1次。”

食疗 ❶ 参枣米饭(《醒园录》)治老年体虚气弱、乏力、倦怠,心悸失眠,食欲不振,脾虚便溏,浮肿:党参10g,大枣20个,糯米250g,白糖50g。

先将党参、大枣煮30分钟,去渣留汁浇饭上。
❷ 参橘膏(《病因脉治》)治气虚咳嗽:党参500g,橘皮100g。

切碎,加水煎熬,加炼蜜250g收膏。每服20ml,1日2次。
❸ 党参粥(《中华食物疗法大全》)治气虚不足,慢性咳嗽,食纳欠佳,腹胀便溏:党参30g,大米50g。煮粥,加少量白糖食服。

。【医药家论述】:

❶ 张璐《本经逢原》∶“上党人参,虽无甘温峻补之功,却有甘平清肺之力,亦不似沙参之性寒专泄肺气也。”
❷ 严洁《得配本草》:“上党参,得黄耆实卫,配石莲止痢,君当归活血,佐枣仁补心。补肺蜜拌蒸熟;补脾恐其气滞,加桑皮数分,或加广皮亦可。”
❸ 张山雷《本草正义》:“党参力能补脾养胃,润肺生津,健运中气,本与人参不甚相远。尤其可贵者,其健脾运而不燥,滋胃阴而不湿,润肺而不犯寒凉,养血而不偏滋腻,鼓舞清阳,振动中气,而无刚燥之弊。

且较诸辽参之力量厚重,而少偏于阴柔,高丽参之气味雄壮,而微嫌于刚烈者,尤为得中和之正,宜乎五脏交受其养,而无往不宜也。特力量较为薄弱,不能持久,凡病后元虚,每服6~9g,止足振动其一日之神气,则信乎和平中正之规模,亦有不耐悠久者。

然补助中州而润泽四隅,故凡古今成方之所用人参,无不可以潞党参当之,即凡百证治之应用人参者,亦无不可以潞党参投之。”

随便看

 

离鸟网收录3541549条中英文词条,其功能与新华字典、现代汉语词典、牛津高阶英汉词典等各类中英文词典类似,基本涵盖了全部常用中英文字词句的读音、释义及用法,是语言学习和写作的有利工具。

 

Copyright © 2004-2024 vtrois.com All Rights Reserved
更新时间:2026/4/7 8:09:56