网站首页  词典首页


请输入您要查询的字词:

 

字词 全二氧化硫的测定计算
类别 中英文字词句释义及详细解析
释义 全二氧化硫的测定计算

[说明]全二氧化硫指游离二氧化硫和缓结合二氧化硫之和。缓结合二氧化硫指与木素或糖类结合的二氧化硫,用碱处理后,可游离出来。

[测定方法]吸取5mL试样(另取试样测定固形物),置于250mL锥形瓶中,加入10%NaOH5mL,在室温下放置1h。加入用蒸馏水制成的碎冰60g和少量蒸馏水稀释,用10%硫酸中和,以淀粉为指示剂,用0.05M碘标准溶液滴定之。

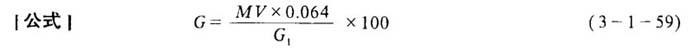
式中 G-全二氧化硫(%)

N、V-碘标准溶液的当量浓度及体积(mL)

G1-绝干试样重(g)

0.064-与1mL1mo1碘溶液相当的二氧化硫量(g)

随便看

 

离鸟网收录3541549条中英文词条,其功能与新华字典、现代汉语词典、牛津高阶英汉词典等各类中英文词典类似,基本涵盖了全部常用中英文字词句的读音、释义及用法,是语言学习和写作的有利工具。

 

Copyright © 2004-2024 vtrois.com All Rights Reserved
更新时间:2026/4/7 22:38:37