网站首页  词典首页


请输入您要查询的字词:

 

字词 芫花萜结晶中期妊娠引产
类别 中英文字词句释义及详细解析
释义
芫花萜结晶中期妊娠引产

芫花萜结晶中期妊娠引产

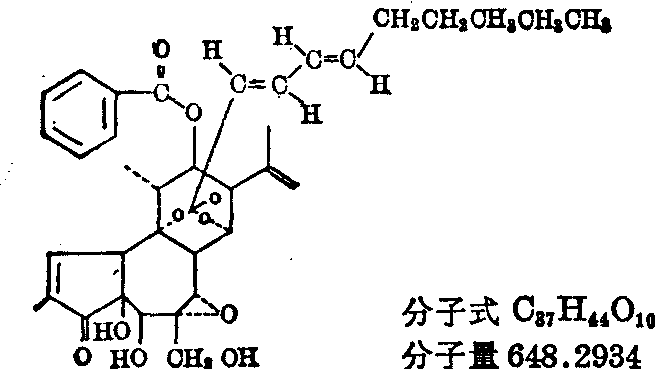
给孕妇羊膜腔内、外注射芫花萜终止中期妊娠,称为芫花萜中期妊娠引产。芫花为瑞香科植物。李时珍 《本草纲目》记载其根有“催生去胎”作用。我国民间曾将芫花根棒插入子宫颈,进行中期妊娠引产,取得一定效果。1971年从芫花根中分离出“芫花萜”结晶(化学名称——芫花酯甲,Yuanhuacine),该药属中性二萜类,其分子结构为:


孕猴应用相当于临床引产有效剂量0.07mg的100余倍时,心电图、凝血机制和肝肾功能等均未见异常。1975年起临床应用于中期妊娠引产,羊膜腔内1次注药0.07mg (0.02mg/ml),有效率达98%。由于药物的提纯,用药途径的改变,使吸收量稳定,从而减少了药物剂量和副作用。芫花萜引产具有用药剂量小、安全、有效,引产对月经、劳动力及健康无影响,基本上无过敏反应,药源广、制备简便、价廉等优点,目前国内逐渐推广应用。1976年山东省等地应用芫花粗提物——芫花根、芫花之花及芫花全草乙醇浸剂,经羊膜腔内、外注射,进行中期妊娠引产,也取得良好效果。缺点是制剂量不稳定,科学性差,但制备简便,临床使用有效,有些地区还在应用。
作用机理 药物的体内分布及作用机理,经动物试验证明羊膜腔内注入3H-芫花萜结晶后,大部份药物集中于羊水、胎盘及胎儿肝内,分娩时随羊水、胎盘及胎儿排出体外,72小时尿内共排出9.1%。胎盘病理变化主要为药物接触区的蜕膜组织变性坏死,绒毛膜板下及蜕膜组织内大量中性白细胞浸润(即炎症反应),滋养层细胞未见明显异常。电镜观察蜕膜细胞变性坏死,滋养层细胞尚完整,个别区域合体滋养层细胞有变性,膜层结构破坏或消失,间质细胞及部分细胞滋养层内出现较多的微纤维。
芫花萜中期妊娠引产效果良好,但流产动因尚待进一步研究。初步认为药物引起内源性前列腺素分泌增加是主要原因。有下列证据:
❶用药后,产程开始时,羊水内前列腺素F(PGF)明显增加,流产时达高峰。
❷药物引起蜕膜组织变性坏死,可使PGS的合成与释放量增加。
❸前列腺素合成与释放抑制剂如消炎痛与芫花萜结晶合用可使孕猴芫花萜结晶中期妊娠引产时间明显延长。
❹给孕猴静脉注射大量芫花萜结晶 (12日内注入总量为375μg/kg),其蜕膜组织未见明显坏死,引产失败。
禁忌证 心、肝、肾疾患伴有功能不良者;各种疾病急性期,包括生殖器炎症;凝血机制障碍者;子宫上有瘢痕者(如剖腹产史);子宫颈发育差者;有阴道流血者,不宜经阴道引产。
给药途径和剂量 羊膜腔内注射法,适用于妊娠16~24周孕妇,需终止妊娠者,芫花萜结晶剂量为0.07mg。经阴道插管羊膜腔外(宫腔内)注射法,适用于妊娠14~18周孕妇,需终止妊娠者,剂量为0.08mg。进行羊膜腔内、外注射时,皆需用注射用水稀释到总量8~10ml左右,以减少药物对组织的刺激性。以上两种给药途径,除适用引产妊娠周数不同外,羊膜腔内注药法引产效果好,有效率达98%,从注药到流产时间约为72小时,胎盘残留率占3%。但羊膜腔穿刺术较复杂,药物副作用如发热>38℃及寒战发生率分别占15%及10%左右。羊膜腔外注药法操作较简便,注药~流产时间短,约24小时。发热>38℃及寒战发生率较低,各占8%及1%左右。但引产有效率较低约85~90%,胎盘残留率略高,占8%左右。
操作步骤 经腹部羊膜腔内注药者,其穿刺方法见“羊膜腔穿刺术”条目。经阴道羊膜腔外注药法:用无菌8号导尿管或内径1mm塑料管,以注射用水充盈管腔后,将导管经子宫颈插入子宫腔内(羊膜腔外)直达子宫底,插入深度的厘米数与孕周数相同。由导管内注入芫花萜结晶溶液,注毕后再注入注射用水1ml,将药液全部推注入子宫腔,拔除导管。注药后孕妇需平卧或高臀位仰卧半小时。引产过程中需观察血压、脉搏、体温、宫缩及产程进展情况。羊膜腔内注入芫花萜结晶后,胎心多在10~12小时消失,48小时左右开始规则宫缩,多于72小时流产。引产有效率为98%。排出胎儿多为死胎。胎盘自然排出率占95%。蜕膜组织多可自然排出。注药4日或胎膜早破24小时后,仍无规则宫缩,可加用催产素(5~10单位放入5%葡萄糖液500ml内)静脉滴注。如一次引产失败,5日后可重复注药一次,或改用其他引产方法,如水囊引产。
羊膜腔外注入芫花萜结晶后12小时左右,出现规则宫缩。注药一次,引产有效率约为85~90%。注药到流产时间约24~48小时。排出胎儿多为死胎。胎盘自然排出率占92%。如有大块蜕膜组织残留,宜行清宫术。注药2日或胎膜早破24小时后,仍无宫缩,可加用催产素静脉滴注。如一次引产失败,3日后可重复注药1次 (羊膜腔内或外注射)。如已有阴道流血,不宜再经阴道注药,可改用钳刮人工流产术。
注意事项: 芫花萜结晶对组织有一定刺激性,并与其浓度成正比,故不宜肌内注射。注入羊膜腔内、外时,需用注射用水将芫花萜结晶0.07mg或0.08mg稀释到总量8~10ml。羊膜腔内注药后,于取出穿刺针前,应再抽吸羊水冲洗针头,并将针芯插入针套内一并取出,以防药物漏出。注射芫花萜结晶引起的宫缩较强,因此引产对象,宜在妊娠24周以下。子宫颈发育差者禁用。用药剂量应控制在0.07~0.08mg/次。要严密观察产程,宫缩过强时,需及时了解子宫颈口开放情况及阴道穹窿是否膨出。如子宫颈口不能相应扩张,可静脉滴注10%酒精50ml (95%或纯注射用酒精5ml加葡萄糖液稀释到50ml)或静脉滴注普鲁卡因 (1%普鲁卡因40~50ml加入5%葡萄糖液500ml)有抑制宫缩作用。静脉注射度冷丁50mg、或肌内注射度冷丁100mg和莨菪碱0.3mg、或1%普鲁卡因局封子宫颈,有利于子宫颈开放。流产后宜常规做窥阴检查,如有软产道损伤,应予及时修补。
药物副作用 羊膜腔内、外注入芫花萜结晶后,体温超过38℃以上者,约分别占15%及8%。羊膜腔内注药者,有10%左右在体温上升前伴有寒战。羊膜腔外注药者,寒战发生率约占1%。寒战发热往往发生于宫缩强时,程度轻重不一,一般可自行消失。预防方法: 于第一产程中期,肌内注射长效促肾上腺皮质激素60单位,可明显降低其发生率。治疗方法: 可采用保暖、吸氧、口服或肌注非那更、或静注地塞米松5mg,效果明显。注药后大多数孕妇血白细胞计数有暂时可逆性增高,嗜中性白细胞可达90~95%。此为药物反应,数日内可自然消失,不需加用抗炎药物。偶有尿内出现少量蛋白质及肝功能谷丙转氨酶增高,数日内可自然恢复。
并发症
❶流产后子宫出血: 羊膜腔内、外注射芫花萜结晶,流产后出血量超过300ml约5%,原因有胎盘残留、或滞留、或部分剥离、子宫收缩不良或子宫颈撕裂等,有时由几个原因引起。治疗方法: 需针对不同原因进行治疗。为防止子宫收缩不良,可于胎儿排出后,常规肌内注射催产素10~20单位,必要时加入少量葡萄糖液静脉推注或滴注。也可肌内或静脉推注麦角新碱0.2mg (加2~5ml生理盐水或葡萄糖液稀释)。针刺合谷、三阴交,按摩子宫等法。
❷软产道损伤:以子宫颈撕裂为多见,发生率约3~5%,多见于初产妇子宫颈发育差者。药物剂量愈大,发生率愈高。主要由于宫缩过强,子宫颈口不能及时相应扩张所致。防治措施见本条目 “注意事项”。
❸胎盘滞留: 胎盘滞留伴有出血,需随时行钳刮术,取出胎盘。发生率约占2~4%。
❹胎盘残留:指胎盘已自然排出,但仍有小块残留于子宫腔内。羊膜腔内注药法的发生率约占3%,羊膜腔外注药法约占8%。如伴有阴道出血,应立即行清宫术;如缺损面积小,阴道流血少,可在24小时后行刮宫术,此时子宫已缩复、刮宫效果好,出血量少。
☚ 利凡诺中期妊娠引产   天花粉蛋白中期妊娠引产 ☛
00007609
随便看

 

离鸟网收录3541549条中英文词条,其功能与新华字典、现代汉语词典、牛津高阶英汉词典等各类中英文词典类似,基本涵盖了全部常用中英文字词句的读音、释义及用法,是语言学习和写作的有利工具。

 

Copyright © 2004-2024 vtrois.com All Rights Reserved
更新时间:2026/4/7 2:01:58