网站首页  词典首页


请输入您要查询的字词:

 

字词 芳烃的烷基化反应
类别 中英文字词句释义及详细解析
释义
芳烃的烷基化反应

芳烃的烷基化反应fangting de wanjihua fanying

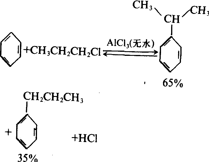
亦称傅列德尔-克拉夫茨烷基化反应。在无水三氯化铝催化下,芳烃与卤代烃 (或烯烃、醇) 发生亲电取代反应,生成芳烃的烷基取代物。这是个可逆反


生成物烷基苯比苯更容易继续反应。因此,反应很难停留在一元取代上,得到的产物往往是混合物。若卤代烷的烷基是3个碳以上的直键,反应时常发生异构化。如:

若苯环上含有间位定位基时,使烷基化反应不易进行,甚至不反应。利用傅列德尔-克拉夫茨酰基化反应,苯环上可引入酰基而得到芳香酮,酰基化反应形成一元取代物,且不发生异构化。


☚ 芳烃的磺化   苯酚的卤代 ☛
00006114
随便看

 

离鸟网收录3541549条中英文词条,其功能与新华字典、现代汉语词典、牛津高阶英汉词典等各类中英文词典类似,基本涵盖了全部常用中英文字词句的读音、释义及用法,是语言学习和写作的有利工具。

 

Copyright © 2004-2024 vtrois.com All Rights Reserved
更新时间:2026/4/5 18:51:11