网站首页  词典首页


请输入您要查询的字词:

 

字词 苄青霉素
类别 中英文字词句释义及详细解析
释义
苄青霉素

苄青霉素


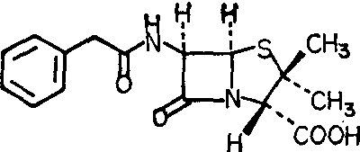
苄青霉素(benzylpenicillin)又称青霉素G,是第一个应用于临床的抗生素。发现于1929年,在第二次世界大战期间提炼出纯品,肯定了化学结构与疗效,并开始工业生产。医用制剂为其钾盐、钠盐、普鲁卡因盐(普鲁卡因青霉素G),N1N-二苄基-1,2-乙二胺盐(苄星青霉素G)与N-苄基苯乙胺盐(苄胺青霉素G)。
苄青霉素的钾盐与钠盐均为白色结晶性粉末,水溶液在室温下易分解,需保存于冰箱中。钾盐的熔点214~217℃(分解),易溶于水与低级醇,难溶于多种有机溶剂;普鲁卡因青霉素G与苄星青霉素G的熔点各为106~110°与123~124℃。
革兰阳性细菌、阴性球菌与螺旋体对本药极敏感,但革兰阴性杆菌的敏感度则因菌株而异,真菌、奴卡菌、支原体、立克次体与原虫对本品皆耐药。对本品敏感的主要致病菌有:金黄色葡萄球菌与表皮葡萄球菌、化脓性链球菌、肺炎球菌、梭状芽胞杆菌、破伤风杆菌、白喉杆菌、炭疽杆菌、淋球菌、脑膜炎球菌、百日咳杆菌、流感杆菌、软性下疳杆菌、梅毒螺旋体、回归热螺旋体、鼠咬热螺旋体、念珠状链杆菌、牛放线菌。金黄色葡萄球菌对本药的耐药性发展较快,据戴自英等测定1952~1956年我国的耐药菌菌株仅占14.0%,1957年升至57%,到1961年则高达85.4%(以1U/ml为临界浓度),近年来仍在继续发展。
苄青霉素不耐酸,不宜口服,肌注3万U,15~30分钟后平均血浓度为1.6U/ml,4小时后降至有效浓度以下,尿中排泄为给药量的40~70%。肌注100万U,血浓度高峰约为20U/ml,半寿期一般为0.5~1小时,有效浓度可持续4~6小时。静脉注射500万U钠盐后,5与10分钟的血浓度分别为680与460U/ml,1小时下降到75U/ml,4小时尚有5U/ml。本药与人血清蛋白结合率为46~58%。本药能迅速分布于各组织,而以肾、小肠、肺、横纹肌和脾中的含量较高,也能进入胸腔、腹腔、心包、关节腔、胆汁及胎儿循环中。不易透过血脑屏障,在骨胳、眼组织、汗、泪、唾液、乳汁、脓肿中含量很低。本药主要经肾小管排出,亦可经肾小球排出,并用丙磺舒可使血浓度增高。
本药主要用于敏感的细菌所引起的肺炎、脑膜炎、骨髓炎、蜂窝织炎、扁桃体炎、中耳炎、感染性心内膜炎、疖、痈、脓肿、炭疽、淋病和梅毒,亦可与抗毒素并用治疗白喉。本药为治疗梭状芽胞杆菌感染,如破伤风与气性坏疽等的首选药物,也可用于治疗鼠咬热、钩端螺旋体感染与回归热等。
本药毒性低,但大剂量静注或鞘内注入可引起神经系统反应,如头痛、恶心、呕吐、呼吸困难、循环衰竭、肌肉颤搐、惊厥、幻觉,甚至癫痫发作。本药能引起过敏性反应,发生率约为5%左右,少数病人可出现过敏性休克,需特别注意。用药前应作皮试。注射部位疼痛也较常见。
成人剂量为80万~200万U,分2~3次肌注。静脉滴注可用至每日200万~800万U,必要时还可增大剂量到1,000万U或更高剂量。普鲁卡因青霉素G用于治疗轻度感染,剂量为每天40万~120万U,分1~2次肌注。苄星青霉素G用于预防风湿热的复发,每次60万~120万U,每2~4周肌内注射一次。
☚ β内酰胺酶抑制剂   苯氧甲基青霉素 ☛
00005598
随便看

 

离鸟网收录3541549条中英文词条,其功能与新华字典、现代汉语词典、牛津高阶英汉词典等各类中英文词典类似,基本涵盖了全部常用中英文字词句的读音、释义及用法,是语言学习和写作的有利工具。

 

Copyright © 2004-2024 vtrois.com All Rights Reserved
更新时间:2026/4/7 15:47:30