网站首页  词典首页


请输入您要查询的字词:

 

字词 茶叶可可碱
类别 中英文字词句释义及详细解析
释义

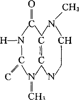
茶叶可可碱theobromine of tea

又称可可豆碱。化学名称:3,7-二甲基-2,6-二氧嘌呤或3,7-二甲基黄嘌呤。茶叶生物碱之一。其结构式如右。呈白色结晶性粉末。无臭,略有苦味,溶于热水,难溶于冷水及乙醇,几乎不溶于苯、乙醚、氯仿。具有两性反应。

随便看

 

离鸟网收录3541549条中英文词条,其功能与新华字典、现代汉语词典、牛津高阶英汉词典等各类中英文词典类似,基本涵盖了全部常用中英文字词句的读音、释义及用法,是语言学习和写作的有利工具。

 

Copyright © 2004-2024 vtrois.com All Rights Reserved
更新时间:2026/4/7 20:15:27