网站首页  词典首页


请输入您要查询的字词:

 

字词 茶叶咖啡碱
类别 中英文字词句释义及详细解析
释义

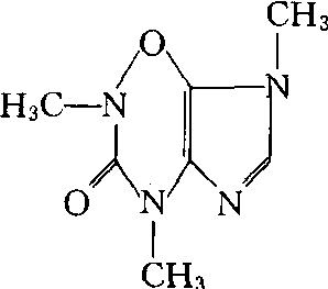
茶叶咖啡碱caffeine of tea

又称茶素或咖啡因。化学名称:1,3,7-三甲基-2,6-二氧嘌呤或1,3,7-黄嘌呤。茶叶生物碱之一。其结构式如右。1827年在茶叶中发现,呈白色有丝绢光泽的针状结晶体、无臭,有苦味。熔点为235~238℃ ,120℃开始升华,可用灼烧法制取咖啡碱。难溶于水和酒精,能溶于加热的水、乙醇、丙酮,易溶于氯仿。为碱性极弱的生物碱,水溶液呈中性反应。它是构成茶汤滋味的重要成分,对提高茶叶品质有积极作用。在红茶中的咖啡碱能和茶黄素、茶红素等品质成分形成复合物,提高茶汤的鲜爽度,红茶茶汤冷后出现混浊(冷后浑)现象,就是这种复合物产生的乳状沉淀表现。冷后浑程度越明显,表明茶汤中形成的复合物越多。茶叶嫩度与咖啡碱含量成正相关。

随便看

 

离鸟网收录3541549条中英文词条,其功能与新华字典、现代汉语词典、牛津高阶英汉词典等各类中英文词典类似,基本涵盖了全部常用中英文字词句的读音、释义及用法,是语言学习和写作的有利工具。

 

Copyright © 2004-2024 vtrois.com All Rights Reserved
更新时间:2026/4/9 1:43:02