网站首页  词典首页


请输入您要查询的字词:

 

字词 全膦胺
类别 中英文字词句释义及详细解析
释义 全膦胺

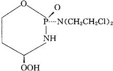
C7H15Cl2N2O4P=293.09

CAS-62435-42-1

顺式-(±)-2-[双(2-氯乙基)氨基]四氢-2H-1,3,2-氧氮杂膦-4基,过氧化氢,P-氧化物。

cis-(±)-2-]bis(2-Chloroethyl)amino]tetrahydro2H-1,3,2-oxazaphosphorin-4-ylhydroperoxide,Poxide.

抗肿瘤药。

Perfosfamide,Pergamid,4-HC,NSC-181815.

USAN.

随便看

 

离鸟网收录3541549条中英文词条,其功能与新华字典、现代汉语词典、牛津高阶英汉词典等各类中英文词典类似,基本涵盖了全部常用中英文字词句的读音、释义及用法,是语言学习和写作的有利工具。

 

Copyright © 2004-2024 vtrois.com All Rights Reserved
更新时间:2026/4/6 22:36:08