网站首页  词典首页


请输入您要查询的字词:

 

字词 全要素生产率
类别 中英文字词句释义及详细解析
释义 全要素生产率

又称综合要素生产率,即产量与投入量的比率。

它可消除单项要素生产率变化受到要素投入量比例关系变化的影响。目前,全要素生产率在西方国家被广泛运用,为宏观经济效率指标,并通过这一指标来测算技术进步对经济增长的促进作用。

全要素生产率的研究始于生产函数。

生产函数是在生产过程中,反映生产要素投入量的组合与实际产出量之间依存关系的数学表达式。

若以x1、x2、…、xn代表各个生产要素投入量,以y代表产出量,则生产函数的一般形式为:

y=F(x1、x2、…、xn)

生产函数的具体形式很多,其中影响较大、应用广泛的是柯布-道格拉斯生产函数。20世纪20年代后期,美国芝加哥大学柯布与道格拉斯两位专家在分析研究美国制造业1899-1922年的有关资料中发现,在各个生产要素中最主要的是劳动力和资本,其余的生产要素对产出量的影响极小,可以忽略不计。在此基础上形成这一期间美国制造业的柯布-道格拉斯生产函数。其计算公式为:

y=ALа·Kβ…(1)

则全要素生产率的计算公式为:

式中:y代表产出量,一般用国民生产总值表示;

L代表劳动力数量即劳动的投入量;

K代表生产资料价值即资本的投入量;

α代表劳动力的产出弹性;

β代表资金的产出弹性;

A代表全要素生产率。

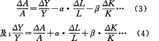
公式(2)综合反映了劳动力、资本投入量与产出量之间的比率。要研究经济增长中的各个因素的作用程度,需要对公式(2)进行一定的转换,即对公式(2)两边取对数、微分并以差分近似取代微分,可得:

式中:代表全要素生产率的增长率;

代表产出量的增长率;

代表劳动投入量的增长率;

代表资本投入量的增长率。

α与β都是在假定其他条件不变情况下的某要素对产出的弹性。如α是劳动对产出的弹性,即在资本投入量不变的情况下,当劳动投入量每增加1%,产出平均增加α%;β是资本对产出的弹性,即在劳动投入量不变的情况下,当资本投入量每增加1%,产出平均增加β%。

在生产规模报酬不变的假定前提下,由生产函数确定的α+β数值之和等于1,并由此可得到α与β估算的方法有二:一是确定劳动报酬(V)占国民收入(NI)的比重来代替劳动的产出弹性α,则β=1一α;二是利用公式(3)转形为直线方程、采用回归分析法来确定参数α、β的数值。

为全要素生产率的增长率,这一增长率不是由生产要素投入量增加而增长,而是由技术进步作用影响所致、故又称技术进步率。

这里的技术进步是广义的技术进步,既包括劳动力生产技能的进步、生产资料效能的提高,也包括生产经营管理与服务水平的科学化程度的进展等。

利用公式(4)可以进行如下分析:

(1)各因素变动对经济增长的贡献份额。

(2)各因素变动对经济增长的绝对影响额。

上述计算分析可得出的经济增长类型:当劳动贡献份额与资本贡献份额之和的数值较大时,属粗放型;当技术进步贡献份额的数值较大时,则属于集约型。

随便看

 

离鸟网收录3541549条中英文词条,其功能与新华字典、现代汉语词典、牛津高阶英汉词典等各类中英文词典类似,基本涵盖了全部常用中英文字词句的读音、释义及用法,是语言学习和写作的有利工具。

 

Copyright © 2004-2024 vtrois.com All Rights Reserved
更新时间:2026/4/7 2:40:10