| 释义 |
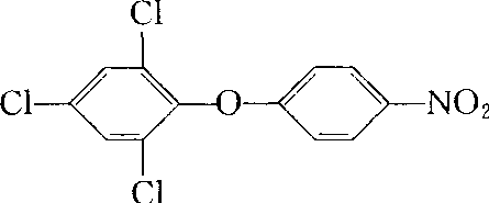
草枯醚chlornitrofen二苯醚类触杀性除草剂。化学名称:2,4,6-三氯苯基-4′-硝基苯基醚。化学结构式如下。原药为黄褐色结晶状粉末,熔点107℃。107℃时蒸气压为46.66 Pa,几乎不溶于水,易溶于苯及甲苯,微溶于醇类。对酸、碱、热稳定。草枯醚在土壤表面形成药层,幼芽与药剂接触后渗入幼芽,经光活化后使杂草中毒死亡。水稻田使用防除稗草、莎草、丁香蓼、鸭舌草、节节菜、碱草、牛毛草、瓜皮草等一年生杂草。草枯醚对大鼠急性口服LD50>10 000 mg/kg,急性经皮LD50>5 000mg/kg,对鱼低毒。连续使用可能引起慢性致畸、致突变。 
|