全集和补集
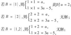
全集:如果集合S含有我们所研究的各个集合的全部元素,这个集合就可以看作一个全集,全集通常用U表示. 显然,一切集合都是这个全集的子集. 补集:一般地,设U是一个集合,A是U的一个子集(即 ),由U中所有不属于A的元素组成的集合,叫做子集A在全集U中的补集(或余集),记为 ,即   如图: , , , , . 例1 已知集合A={x|x2—3x+2=0},B={x|x2—ax+3a—5=0},若A∩B=B,求实数a的值. 解 A=}x|x2—3x+2=0} ={x|(x—1)(x—2)=0}={1,2}, 由x2—ax+3a—5=0知△=a2—4(3a5)=(a—2)(a—10). ∵A∩B=B,∴ . ∴ 或B={1}或B={2}或B={1,2}. 若 ,则△<0.此时2  综上,a的范围为[2,10),即当2≤a<10时,均有A∩B=B. 例2 分别标出下图中❶ ❷ ❸ ❹ 所代表的区域.  解 ❶ . ❷ A∩B. ❸ . ❹ 或 . |