网站首页  词典首页


请输入您要查询的字词:

 

字词 全面机械通风设计计算
类别 中英文字词句释义及详细解析
释义 全面机械通风设计计算

[说明]当利用自然通风或局部机械通风不能满足要求时,才设计全面机械通风(换气),全面机械通风设计主要是决定通风系统的组成,选择通风机、加热器和决定风道的尺寸等,而这些都取决于通风量和排出气体的性质。

1.消除车间余热所需要的通风量计算

式中 G——消除室内余热所需要的通风量(m3/h)

∑Qs——车间的总散热量(kJ/h)

∑Qh——车间的总耗热量(kJ/h)

t2——排出空气的温度(℃)

t1——进入空气的温度(℃)

C——空气的比热容,取1kJ/(kg·℃)

γ——进入空气的容重(kg/m3)

❶ 车间总耗热量∑Qh的计算

[说明]车间的总耗热量,根据季节的不同而不同,在夏季时,因室内外温差不大,故车间的总耗热量∑Qh可不考虑;在冬季的采暖地区,∑Qh可按采暖部分的耗热量来计算(见式4-5-1),此略。

❷ 车间总散热量∑Qs的计算

[说明]车间总散热量等于车间各种散热设备所散热量之和。

[公式] ∑Qs=Q1+Q2+Q3+……+Qn(kJ/h) (4-4-48)

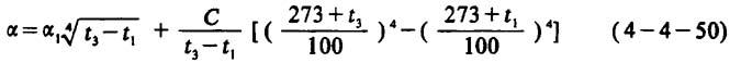
a.工艺设备(包括容器、罐等)平壁表面的散热量Q1计算

式中 F——设备的表面积(m2)

t2——热介质温度(℃)

t1——室内温度(℃)

t3——设备散热表面温度(℃)

α——设备外壁面传热系数[kJ/(m2·h·℃)]

α1——对流常数,对垂直平壁面α1=2.2;对水平壁面α1=2.8

C——辐射常数[kJ/(m2·h·K4)],见表4-4-19

表4-4-19 不同材料的辐射系数C

注:1kcal/(m2·h·K4)=4.1868kJ/(m2·h·K4)

K——设备外壁散热系数[kJ/(m2·h·℃)]

b.机械设备散热量Q2

式中 N——设备的容量(kW)

n——有效系数,一般在0.75~0.95之间

3598——热功当量(1kW·h=3598kJ)

c.太阳辐射到车间的热量Q3

[公式] Q3=0.047∑KFmI (kJ/h) (4-4-53)

式中 F——屋顶或墙壁的面积(m2)

K——总传热系数[kJ/(m2·℃)]

m——吸收率,由建筑材料决定,一般浅色表面为0.4;中色表面为0.7;深色表面为0.9

I——太阳辐射强度[kJ/(m2·h)],由方位、季节和时间决定,计算时,一般取最大值,如上海地区取3434.16;北京地区取3311.76

[注意[当经过窗口的太阳照射时,应由下式计算:

Q3=εIF(kJ/h) (4-4-54)

式中 ε——透过系数,单层垂直木框窗口取0.6;明窗帘时取0.21;金属窗框取0.7

F——窗口的面积(m2)

I——太阳辐射强度[kJ/(m2·h)]

d.人体散热量Q4

[说明]按人体向周围大气散发的最大感热量计算。

[公式] Q4=712n (kJ/h) (4-4-55)

式中 n——有效系数,同式4-4-52

712——人体在较低温度下发热的最高值(kJ/h);但在高温车间中,人体的全部散热变为汗水蒸发的潜热,不能升高室温,即当室温高于35℃时,此热量不计

c·热水表面向室内散发的热量Q5

[公式[ Q5=(20.52+14.65V)(t2-t1)F (kJ/h) (4-4-56)

式中 V——水面上空气的流动速度(m/s)

t2——水的温度(℃)

t1——周围空气的温度(℃)

F——水的表面积(m2)

f.电机或变压器的散热量Q6

[说明]Q6与电机或变压器的额定容量、电压等有关,可由《采暖通风设计手册》查取。

g·锅炉的散热量Q7

[公式] Q7=3349∑F (kJ/h) (4-4-57)

式中 ∑F——包括炉墙、炉顶、省煤器、空气预热器、管道及辅机的表面积(m2)也可由有关手册中查取

2.消除车间余湿所需通风量的计算

式中 G——通风量(kJ/h)

∑Qs——车问散湿总量(kJ/h)

∑Qh=G1+G2+G3+……Gn (4-4-59)

d1——进入空气的湿含量(kg/kg空气)

d2——排出空气的湿含量(kg/kg空气)

❶ 常压下暴露的水面或潮湿表面蒸发出的水蒸汽量G1

[公式] G1=(u+0.0174V)(P2-P1)F (kg/h) (4-4-60)

式中 u——周围空气在温度为15~30℃时的重力流动因素

V——暴露水面或潮湿表面上的空气流速(m/s)

P1——相应于周围空气温度下饱和空气的水蒸汽分压(mmHg)

P2——相应于蒸发表面温度下饱和空气的水蒸汽分压(mmHg)

F——蒸发表面积(m2)

❷ 沿地面流动的热水其表面的蒸发量G2

式中 α1——沿地面流动的水量(kg/h)

C——水的比热容,取4.1868[kJ/(kg·℃)]

r——汽化潜热,可取平均值2449kJ/kg

t1.t2——分别表示水的初温和终温(C)

❸ 液体(水除外)的蒸发量

[公式] G,=M(0.000352+0.000786V)PF (kg/h) (4-4-62)

式中 M——液体的摩尔质量

V——蒸发液体表面上的空气流速(m/s)

P——相应于液体温度下饱和空气的蒸汽分压(mmHg)

F——蒸发表面积(m2)

3.消除车间内有害气体所需要的通风量

式中 G——通风量(kg/h)

Gm——散入车间中的有害气体量(kg/h)

Gm=Gm1+Gm2+……+Gmn (4-4-64)

C1——进入车间的空气中有害气体浓度(g/kg)

C2——排出空气中有害气体的最高允许浓度(g/kg)

❶ 直接燃烧固体或液体发生的有害气体散发量Gm1

a.对一氧化碳

[公式] Gm1=0.233qc (g/kg) (4-4-65)

式中 q——燃料的化学不完全燃烧的百分比,见表4-4-20

C——燃料中含碳的百分比

表4-4-20 燃料的化学不完全燃烧值q

b.对氧化硫

[公式] Gm1=20S(g/kg) (4-4-66)

式中 S——燃料中含硫的百分比

❷ 物体表面涂漆时各种溶剂散发量Gm2

式中 A——实际溶剂消耗量(kg/件)

t——挥发物蒸发的延续时间(h)

❸ 设备或管道漏出的有害物的量Gm

式中 V——设备或管道的内部容积(m3)

T——气体的绝对温度(K)

C——系数,见表4-4-21

M——气体的摩尔质量

表4-4-21 系数C

4.按换气次数计算通风量

[说明]同式4-4-41和式4-4-42

随便看

 

离鸟网收录3541549条中英文词条,其功能与新华字典、现代汉语词典、牛津高阶英汉词典等各类中英文词典类似,基本涵盖了全部常用中英文字词句的读音、释义及用法,是语言学习和写作的有利工具。

 

Copyright © 2004-2024 vtrois.com All Rights Reserved
更新时间:2026/4/7 6:30:48