网站首页  词典首页


请输入您要查询的字词:

 

字词 八仙花
类别 中英文字词句释义及详细解析
释义 八仙花

【名称出处】:《植物名实图考》

【概况】:

基源 为虎耳草科绣球属植物绣球的根、叶、花。

绣球属全世界约80种,中国有40余种。

原植物 绣球Hydrangea macrophylla(Thunb.)Seringe

历史 本品始载于《植物名实图考》,云:“八仙花即绣球之类也,因其一蒂八蕊,簇成一朵,故名八仙。其花白,瓣薄而不香。蜀中紫绣球即八仙花”。

据考证,当时是指野生种而言。《群芳谱》载:“绣球,木本。皱体叶青,微带黑,春开花五瓣,白花成一朵,团璘如球满树,有红、白二种”。据推测,是指从野生经过栽培后的八仙绣球Hydrangea macrophylla(Thunb.)Seringe f.hortensia Wils.各地庭园多栽培,供观赏。

形态 灌木,高约3m;小枝粗壮,直径6~8mm,有明显的皮孔与叶痕,无毛。叶对生;叶柄长1~3cm,粗壮,无毛;叶片厚纸质,倒卵形至卵状椭圆形,长8~16cm,宽3~9cm,顶端短渐尖,基部宽楔形,边缘除基部外具粗锯齿,上面暗绿色,无毛,下面淡绿色,无毛或脉上被粗毛;中脉与侧脉粗壮,侧脉约7对,在下面明显隆起,网脉不明显。伞房花序顶生,直径10~20cm,总花梗无毛或具短柔毛;花大多数为放射花,萼片4,宽卵形或圆形,排列在花序上部呈半球形。蒴果宽卵形,有棱脊,宿存花柱3~4。

花期7月,果期9月。(图见《中国高等植物图鉴》.第2册.106页.图1941)

生境与分布 生于山地绿及灌木林中。分布于湖南、四川、贵州。

【生药】:

采集 春、夏季采收,采挖根,摘取叶及花,干燥。

贮藏 根置干燥处;叶、花置阴凉干燥处,防霉。

【化学】:

含伞形花内酯(Umbelliferone),桂皮酸(cinnamic)和对-香豆酸(pCoumaricacid)。

从叶中分得茵芋甙(Skimmin,7-羟基香豆素葡萄糖甙),顺式2,4-双葡萄糖氧基香豆素[1]。从新鲜叶中分得异香豆素甙类成分(phyllodulcin-8-O-β-glucose)。

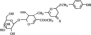
从叶中分离出二个甙类成分Ⅳ和V[2,3],近又从地上部分分得环烯醚萜类成分,八仙花甙A、B(1)、C(2)、D(3)(HydrangenosideA、B、C、D),花含芸香甙[4]

参考文献 [1] CA 1962;56:15266,1972;76:1813 [2] phytcchemistry 1965;4(2):255 [3] CA 1979;91:17165z,1982;96:100897y [4] CA 1986;104:17666k

【药性】:

性味 微辛,寒。

有小毒。

功效 清热除烦,抗疟。

(1)7S,X=2H,Z=CH2COCH2 (2)7R,X=0,Z=CH2 (3)7S,X=0,Z=CH2

主治 疟疾,心脏病。 ❶ 《现代实用中药》:“抗疟药,功效与常山相仿。又用于心脏病。”
❷ 《四川常用中草药》:“治疟疾,心热惊悸,烦躁。”

用法用量 内服:煎汤,9~12g。外用:水洗或磨汁涂。

。【临床应用】:

配伍应用 配黄常山抗疟。

方选和验方 《现代实用中药》:“八仙花叶9g,黄常山6g,水煎服。治疟疾。”

随便看

 

离鸟网收录3541549条中英文词条,其功能与新华字典、现代汉语词典、牛津高阶英汉词典等各类中英文词典类似,基本涵盖了全部常用中英文字词句的读音、释义及用法,是语言学习和写作的有利工具。

 

Copyright © 2004-2024 vtrois.com All Rights Reserved
更新时间:2026/5/25 9:46:49