网站首页  词典首页


请输入您要查询的字词:

 

字词 莫景行诗引帖
类别 中英文字词句释义及详细解析
释义
莫景行诗引帖

莫景行诗引帖

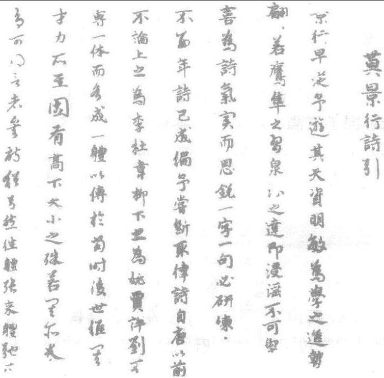
元仇远书,行草,纸本。曾为清宫收藏,今藏北京故宫博物院。此帖附在《莫维贤西湖草堂图》后面。莫维,字景行,系仇远好友,喜古能诗,筑室于灵隐、天竺间,遍植杏树,号曰“杏园”,时与诗友墨客唱和其间。仇远为其写诗引,其书结构系从欧阳询、颜真卿中来,同时也受有智永、宋高宗的影响。体势开阔疏朗,笔法圆劲,墨色润厚。点画精心布置,用笔灵活多变,楷、行、草书兼出,有丰姿绰约、参差多姿之美。仇远(1247—1326) 字仁近,自号山村民,钱塘 (今浙江杭州)人,曾为溧阳州教授,著有《金渊集》六卷。《书史会要》说他“好古博雅,楷书学欧”。仇远工诗文鉴赏,与当时著名的书法家赵孟頫、鲜于枢及周密、白珽、张翥等人,往返甚密。仇远书法初师欧阳询,后改学其他,风格不拘一家,体势圆阔疏放。

☚ 杜工部行次昭陵诗卷   春晖堂记卷 ☛
随便看

 

离鸟网收录3541549条中英文词条,其功能与新华字典、现代汉语词典、牛津高阶英汉词典等各类中英文词典类似,基本涵盖了全部常用中英文字词句的读音、释义及用法,是语言学习和写作的有利工具。

 

Copyright © 2004-2024 vtrois.com All Rights Reserved
更新时间:2026/4/9 7:50:25