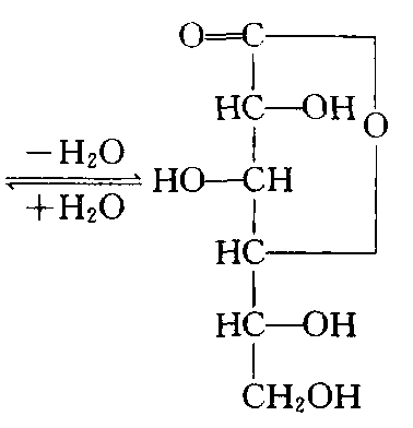
葡萄糖酸内酯gluconolactone葡萄糖酸的羧基与分子内的羟基之间脱水而成的酯。与第5位(δ位)碳原子上的羟基之间脱水而成的酯,称为葡萄糖酸-δ-内酯;与第4位(γ-位)碳原子上的羟基之间脱水而成的酯,称为葡萄糖酸-γ-内酯。易溶于水,在水溶液中水解为葡萄糖酸,与δ及γ两种内酯成平衡混合物: 
葡萄糖酸-δ-内酯 
葡萄糖酸 
葡萄糖酸-γ-内酯 其6-磷酸酯是葡萄糖在生物体内氧化分解(磷酸戊糖途径)的中间物。在食品加工中,作大豆蛋白或牛乳蛋白的凝固剂、肉类的防腐剂、糕点的疏松剂及色素的稳定剂。 |