葡萄糖醛酸glucuronic acid葡萄糖在酶的作用下,分子中带伯醇羟基的末端碳原子被氧化为羧基而成的衍生物。结构式如下。是某些多糖的重要组分。为动物肝脏内的一种解毒剂。在植物和多数动物体内可转变为L-抗坏血酸。 
开链式 
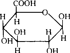
环式 葡萄糖醛酸glucuronic acid系由葡萄糖第6个碳原子被氧化而形成的一种酸。此酸大量存在于肝脏内,具有很强的生物活性,在胆红素代谢过程中有重要作用,可与脱脂蛋白后的胆红素相结合,生成能溶于水的结合性胆红素,利于排入肠道及从尿中排出体外;亦能与带羟基化合物缩合成糖苷化合物而溶于水。 葡萄糖醛酸一种含醛基和羧基的己糖。由葡萄糖的末位醇基氧化成羧基即成。还可进一步合成维生素C。是糖胺多糖的重要结构单位。 |