网站首页  词典首页


请输入您要查询的字词:

 

字词 公共支出构成与经济增长的关系
类别 中英文字词句释义及详细解析
释义 公共支出构成与经济增长的关系

【内容介绍】:

1.引言

自20世纪初以来,世界各国的财政支出规模不断扩大,财政支出占GDP的比率不断提高,促使学术界对政府规模与经济增长的关系进行了大量研究(Lindauer and Velenchik,1992,p.59-78),但真正研究公共支出构成对经济增长率的影响的文献尚不多见,尽管戴尔蒙德(Diamond,1989)曾经作过系统分析。

然而,这个问题越来越重要,其主要原因在于,大多数国家经过了十余年的财政调整之后,政府预算中的许多无效率的支出包袱已得到清除,但在实施进一步的财政紧缩时,许多国家却面临著更为艰难的选择:公共支出中的哪一部分应当削减?是削减保健支出、教育支出、基础设施支出,还是国防支出?在做出决策之前,决策者必须知道这些不同的支出类型对一国经济增长的贡献。

有些学者在进行经验分析时,试图把特定的公共支出类型与私人部门的生产率和经济增长联系在一起,但这些研究大多都缺乏严密的理论框架,从而偏离了政府在经济中的作用的理论依据(Diamond,1989)。

尽管有些经济学家在解释宏观经济变量(如产出)的变化时,强调要区分政府购买性支出水平的暂时变化与长期变化的影响(Ahmed,1986,p.197-224;Barro,1981,p.1086-1121,1987,p.221-247),但对财政政策的大多数传统分析主要是围绕著特定支出水平情况下的融资决策展开的。近十年来,学术界开始对公共支出构成问题感兴趣(Aschauer,1989;Morrison and Schwartz,1991;Holtz-Eakin,1991),并依据各种理论模型对此问题进行分析,但也主要集中讨论美国公共支出的生产性问题。

最近,世界银行经济学家德沃拉俭、斯沃鲁普和邹(Devarajan,Swaroop and Zou,1993)构建了一个用于考察公共支出构成与经济增长之间关系的分析框架。他们把政府支出划分为两大类,即生产性支出和非生产性支出,认为前者会提高私人部门的生产率,后者不会,因而生产性公共支出增加将提高经济的稳定状态增长率。本文对此模型作简要介绍并回顾有关的经验分析结论。

2.德沃拉俭-斯沃鲁普-邹模型

2.1 基本思路

60年代以来,经济学家们一直在探讨财政政策与经济增长率之间的关系。

阿罗和库兹(Arrow and Kurz,1970)在这一领域做出了很大贡献。他们曾经建立一个模型,假定消费者不仅从私人消费中获得效用,也能从公共资本存量中获得效用;此外,他们还认为,私人生产得益于这些公共资本存量的服务,并隐含假定所有政府投资都具有生产性。他们的模型建立在新古典理论基础之上,即公共支出只影响经济的暂时增长率,稳定状态增长率保持不变。

近年来形成的“内生增长”理论建立了许多把公共支出与经济的长期增长率联系在一起的模型。

其中,巴罗模型(Barro,1990,p.103-125)最为简单明了,认为经常性政府支出与私人生产是互补的。从这个意义上说,同阿罗和库兹一样,巴罗也假定所有政府支出具有生产性。

与此同时,这一领域的经验研究也区分了生产性和非生产性的公共支出(Laudau,1983,p.783-792;Aschauer,1989,p.177-200;Barro,1990)。

这些各国间的横截面研究的主要发现是:产出增长与政府消费占GDP的比率呈负相关,而公共投资与产出增长呈正相关。

德沃拉俭-斯沃鲁普-邹模型则把政府支出划分为生产性支出和非生产性支出两大类,在巴罗模型的基础上,通过分析生产性支出和非生产性支出如何影响经济的总体生产函数,揭示出这两类支出的差异。

2.2 模型的构建

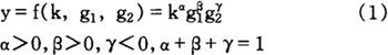
德沃拉俭-斯沃鲁普-邹模型包括三个自变量,即私人资本存量(k)、生产性政府支出(g1)以及非生产性政府支出(g2)。该模型同这类典型模型一样,把劳动作为生产函数的一个独立变量。如果所考察的经济存在剩余劳动,那么,劳动就不是一个有约束力的限制性因素,就可以把它从生产函数中剔除。而资本要素k既包括物质资本,也包括人力资本。

如果生产函数属于科布-道格拉斯生产函数,那么,这种关系可以作如下表述:

倘若抽象掉政府支出融资的所有问题(Easterly,1989),那么,政府通过对所得征收单一税(flat tax)的方式就能为公共支出融资:

τy=g1+g2 (2)

式中,τ代表单一税的税率。最后,政府选择生产性支出占政府总支出的比例(φ):

g1=φτy,g2=(1-φ)τy (3)

在政府的决策既定的情况下,经济中的行为主体将使其福利最大化: (4)

满足

k′=(1-τ)y-c (5)

式中,c代表私人消费,ρ代表时间偏好率。

为了得到解析结果,把效用函数以等弹性形式表示:

u(c)=c1-σ/(1-σ) (6)

在政府支出总水平g(g=g1+g2)既定的前提下,使目标函数(4)式最大化[满足约束条件(1)式和(2)式],得到众所熟悉的消费增长率方程式:

c′/c=[(1-τ)φβ(1-φ)γ(g/k)β+γ(1-β-γ)-ρ]/σ (7)

中括号内的第一项是边际资本生产率。

把c′/c称为稳定状态的消费增长率λ,并假定在稳定状态增长路径上,税率τ(亦即g/y)不变。据此可得g/k也不变,并根据(2)式可得:

g/k=[τφβ(1-φ)γ1/α (8)

于是,稳定状态的消费增长率是:

λ={α(1-τ)φβ(1-φ)γ

[τφβ(1-φ)γ(β+γ)/α-ρ}/σ (9)

根据(9)式,就可以推导出稳定状态增长率(λ)与生产性支出比例(φ)之间的关系:

dλ/dφ=[β(1-φ)-φγ]α(1-τ)φβ-1(1-φ)γ-1(g/k)(β+γ)/σ (10)

由于γ<0,0<φ<1,所以,dλ/dφ>0。换言之,生产性支出比例上升将提高稳定状态增长率。

需要指出的是,这种增长率的提高是在政府总支出没有变化的情况下实现的。实际上,政府总支出增加对稳定状态增长率的影响不能一概而论。为说明这一点,假定稳定状态增长率λ对税率τ提高做出反应。这里选择税率提高,是因为τ=g/y,它等同于政府支出占GDP比率提高。经整理可得:

当τ<β+γ时,

dλ/dτ>0 (11)

当τ>β+γ时,

dλ/dr<0

在预算平衡假设之下,上述结论从直观上就可以看出:政府总支出增加因必须以税收来融资,故只有当政府支出的生产率(β+γ)大于为此而课征的税收时,才会提高稳定状态增长率。

2.3 模型的扩展

德沃拉俭、斯沃鲁普和邹指出,他们构建的这个模型可以不同方式扩展。其中,他们考虑了两种方式。

第一,政府支出可以不只划分为两类。倘若把政府支出划分为N类,每类支出在生产函数中都有其自身的指数βi,那么,第i类公共支出比例提高对增长率的影响取决于βi的符号。

如果βi是正的,那么,这类支出比例上升将提高增长率;如果βi是负的(亦即是非生产性的),那么,情况则相反。可见,这种扩展只是使代数分析更加复杂化,并不会出现新的结论。

第二,并不是所有的政府支出都影响生产函数,有些政府支出如转移性支出主要影响消费者的福利。

这类支出可以放入消费者的效用函数中,并让其在生产函数中的指数为零,从而纳入德沃拉俭-斯沃鲁普-邹模型,分析方法和过程不变。

可以看出,德沃拉俭-斯沃鲁普-邹模型把政府支出决策(无论是支出水平还是支出结构)看作是既定的,而不是依据某种最适理论框架推导出政府的支出决策。因此,该模型是以实证方法而非规范方法分析公共支出,这虽然避免了讨论政府的目标函数这一比较复杂的问题,但这也许成为需要扩展的一个方面。

3.经验分析

阿肖尔和格林伍德(Aschauer and Greenwood,1985,p.91-138)以及巴罗(Barrom1990)等经济学家强调了存在于家庭的效用函数中的共用品与补充私人部门生产的共用品之间的区别。他们认为,前者大多属于政府消费,很可能具有负的增长效应。

尽管政府消费会给家庭带来效用,但由于需要增加税收为消费支出融资,会降低投资收益率,从而会削弱投资刺激,因此会降低经济增长。格里尔和图洛克(Grier and Tullock,1987,p.259-276)证实了这一点:他们利用第二次世界大战后115个国家的集合性横截面-时间序列数据进行的经验分析表明,GDP的实际增长率与政府消费支出比率(政府消费支出占GDP比率)存在著显著的负相关;相反,政府的投资支出(诸如基础设施服务的提供)为经济增长提供了必要环境。

阿肖尔(Aschauer,1989)的研究结果表明,像马路、高速公路、机场、公共交通以及其他公共资本这类“核心基础设施”(core infrastructure),对美国在1949年~1985年间私人部门生产率的解释能力最大。其他类型的公共支出是否属于生产性支出,意见尚不统一。

有些经济学家(Kormendi and Meguire,1985,p.141-164;Grier and Tullock,1987;Summers and Heston,1988,p.1-25)把国防和教育统统看作是政府消费,因而属于非生产支出,而巴罗(Barro,1990)则把它们看作是生产性支出,认为公共教育支出属于人力资本支出,而国防支出有助于保护产权,从而增加投资获取边际资本产品的可能性。巴罗利用98个国家的数据进行经验分析,结论是:用于非生产性的政府消费方面的资源增加,将导致人均增长率下降。德沃拉俭、斯沃鲁普和邹(Devarajan,Swaroop and Zou,1993)利用1970年~1990年间69个发展中国家的数据进行经验分析,目的也是探求有利于生产活动的公共支出变化如何导致经济稳定增长率提高。

与其他人的经验分析相比,他们的分析有两个突出特点:第一,在经验分析时,他们没有把公共支出人为地划分为生产性支出和非生产性支出,而是让数据来界定生产性支出类别。第二,其他人的经验研究或利用的是发达国家和发展中国家的混合样本,或只利用发达国家样本,而他们的经验分析只针对发展中国家。

也许正因为他们的国家样本仅限于发展中国家,他们的经验分析结论出现了反常:以前认为的标准的生产性支出,诸如资本、交通和通讯、保健和教育等支出,与经济增长的相关性或是负的,或不显著;与促进经济增长有关的公共支出,如果按广义分类的话,却是经常性支出;保健和教育部门的一些公共支出在与经济增长的回归分析中,系数是正的。

他们对这一结论作了一些解释。以前的研究已证实,受过教育且身体健康的人力存量以及公共基础设施资本存量与经济增长正相关。而他们看到的事实是:这些部门的公共支出不一定导致人力资本和物质资本存量增加,因而中断了这些公共支出与经济增长之间的联系。

其中原因可能是:第一,公共资源的使用效率低下,资本品的支出不一定能导致更多的资本品。第二,公共支出的标准分类,即经常性支出和资本性支出,不一定能完全反映出差增加资本存量的支出与消费性支出之间的差异。例如,经营性和维修性支出(operations and maintenance expenditures)通常会使资本品的生产性更强,但被归类于经常性支出;同样,许多资本投资项目最终可能成为社会大量成员的消费品,并不是提高生产率的活动。

第三,政府可能利用经常性支出来安抚政治异己群体,随之产生的政治稳定局面会促进经济增长。。【参考文献】:

财政政策的均衡方法(Equilibrium Approach to Fiscal Policy)

政府支出对私人投资的影响(Effects of Govemment Spending on Private Investment)

政府支出的生产性:均衡方法(Productive of Govemment Spending:Equilibrium Approach)

政府支出的刺激性:均衡方法(Stimulative of Government Spending:Equilibrium Approach)

Ahmed, S., 1986, Temporary and Permanent Government Spending in an Open Economy, Journal of Monetary Economics 17.

Arrow, K. J. and M. Kurz, 1970, Public Investment, the Rate of Return and Optimal Fiscal Policy, The John Hopkins.

Aschauer,D.,1989, Is Government Spending Productive? Journal of Monetary Economics 23.

Aschauer, D. and J. Greenwood, 1985, Macroeconomic Effects of Fiscal Policy, Carnegie-Rochester Conference Series on Public Policy 23.

Barro, R. J., 1981, Output Effects of Government Purchases, Journal of Political Economy 89.

Barro, R. J., 1987, Government Spending, Interest Rates, Prices, and Budget Deficits in the United Kingdom 1701-1918, Journal of Monetary Economics 20.

Barro, R. J.,1990,Government Spending in a Simple Model ofEndogenousGrowth, JournalofPolitical Economy 98.

Devarajan, S., V. Swaroop and H-F. Zou, 1993, What Do Governments Buy? The Composition of Public Spending and Economic Performance, Policy Research Working Paper WPS1082, World Bank.

Diamond, J., 1989, Government Expenditure and Economic Growth: An Empirical Investigation, IMF Working Paper No. 89/45,IMF.

Easterly, W., 1989, Policy Distortions, Size of Government and Growth, NBER Working Paper No. 3214, NBER.

Grier, K. and G. Tullock, 1987, An Empirical Analysis of Cross-National Economic Growth, 1951-1980, Journal of Monetary Economics 24.

Holtz-Eakin, D., 1991, Public-Sector Capital and the Productivity Puzzle,Syracuse University.

Kormendi, R. C. and P. G. Meguire, 1985, Macroeconomic Determinants of Growth: Cross-Country Evidence, Journal of Monetary Economics 16.

Laudau, D., 1983, Government Expenditure and Economic Growth: A Cross-Country Study, Southern Economic Journal 49.

Lindauer, D. and A. D. Velenchik, 1992, Government Spending in Developing Countries: Trends, Causes and Determinants, World Bank Reserch Observer 7.

Morrison, C.and A.E.Schwartz, 1991,State Infrastructure and Productive Performance,Tufts University.

Summers, R. and A. Heston,1988,A New Set of International Comparisons of Real Product and Price Levels:Estimates for 130 Countries,The Review of Income and Wealth 34.

随便看

 

离鸟网收录3541549条中英文词条,其功能与新华字典、现代汉语词典、牛津高阶英汉词典等各类中英文词典类似,基本涵盖了全部常用中英文字词句的读音、释义及用法,是语言学习和写作的有利工具。

 

Copyright © 2004-2024 vtrois.com All Rights Reserved
更新时间:2026/4/7 5:02:01