网站首页  词典首页


请输入您要查询的字词:

 

字词 蒽环类抗生素
类别 中英文字词句释义及详细解析
释义
蒽环类抗生素

蒽环类抗生素

蒽环类抗生素是以7、8、9、10-四氢-5、12丁省醌衍生物为配基,并在7或10位通过甙键与一个或几个糖或氨基糖结合而成的化合物,具有羟基蒽醌典型紫外及红外吸收光谱,并有抗革兰阳性菌和抗肿瘤活性,其作用机理主要是抑制细胞DNA和RNA的合成。
天然蒽环类抗生素主要有以下五种类型:
❶紫红霉素组;
❷烬灰红菌素组;
❸柔红霉素组;
❹阿克拉菌素组;
❺诺加霉素组。
已发现的蒽环类抗生素有数十种之多,此外还有一些半合成衍生物,如柔红霉素衍生物柔红苯腙 (rubidazo-ne),阿霉素衍生物4′-表阿霉素 (4′-epi-adriamycin)等,目前临床上常用的有柔红霉素组的阿霉素(见 “阿霉素”条)、柔红霉素、洋红霉素Ⅰ及阿克拉菌素组的阿克拉霉素A等,分别叙述如下:
柔红霉素(daunorubicin) 又名正定霉素,为Str.coer-uleorubidus或天蓝淡红色放线菌正定变种Str.coerule-orubidus var Zhengding所产生; 其游离碱溶于低级醇、氯仿,盐酸盐易溶于水、甲醇及含水乙醇,盐酸盐为红色长针状结晶,188~190℃分解; 临床上主要用以治疗急性粒细胞白血病和急性淋巴细胞白血病等; 主要不良反应为心脏毒性,总剂量不得超过25mg/kg。

洋红霉素Ⅰ


洋红霉素Ⅰ (carminomycinI) 为Actinomadura car-minata SP. nov、No. 4281和链孢囊菌Streptosporangi-um R-588所产生;游离碱为暗红色粉末,盐酸盐为暗红色针状结晶,易溶于水,于180~185℃分解。
洋红霉素I的心毒性较小,临床上对急性白血病有较好疗效,对乳腺癌、子宫内膜癌、子宫肉瘤以及恶性淋巴瘤也有较显著的疗效。
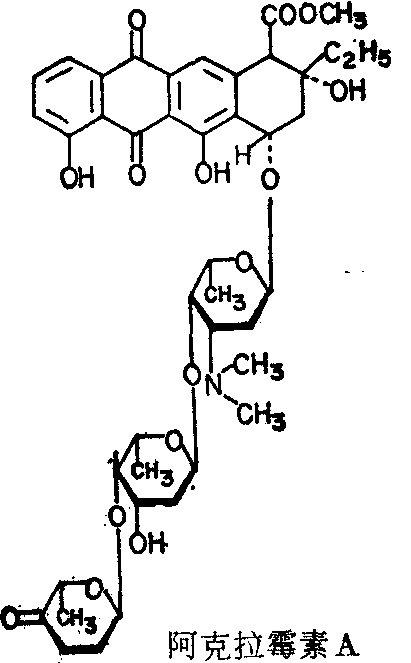
阿克拉霉素A (aclaeinom-ycin A) 为Str. galilaeusMA 144-M所产生的蒽环类抗癌抗生素; 其盐酸盐为黄色粉末,易溶于水及甲醇。阿克拉霉素A的心毒性较阿霉素低; 临床上用于治疗急性白血病、胃癌、肺癌、乳腺癌、卵巢癌和恶性淋巴瘤等。
☚ 抗癌抗生素   放线菌素类抗生素 ☛
00005655
随便看

 

离鸟网收录3541549条中英文词条,其功能与新华字典、现代汉语词典、牛津高阶英汉词典等各类中英文词典类似,基本涵盖了全部常用中英文字词句的读音、释义及用法,是语言学习和写作的有利工具。

 

Copyright © 2004-2024 vtrois.com All Rights Reserved
更新时间:2026/4/7 4:44:18