网站首页  词典首页


请输入您要查询的字词:

 

字词 公式法
类别 中英文字词句释义及详细解析
释义 公式法

用求根公式解一元二次方程的方法称为公式法.

注意 1.一般地,对于一元二次方程ax2+ bx+c=0(a≠0),当b2-4ac≥0时,它的根x=,这个式子称为一元二次方程的求根公式.

2.公式法的意义在于,对于任意的一元二次方程,只要将方程化为一般形式,就可以直接代入公式求解.

3.公式法解一元二次方程的步骤:

(1)把方程化为一般形式.

(2)确定a,b,c的值.

(3)若b2-4ac≥0,代入公式求解.

若b2-4ac<0,说明方程无实数解.

4.当b2-4ac>0时,方程有两个不同的根

当b2-4ac=0时,方程有两个相同的根

当b2-4ac<0时,方程无实数解.

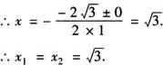
例1 用公式法解方程:

解 ∵a=1,,c=3,

[解析] 当b2-4ac=0时,一元二次方程有两个相等的实数根,不能误认为只有一个根.

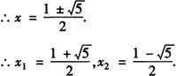
例2 用公式法解方程:

x2-x-1=0.

解 ∵a=1,b=-1,c=-1,

∴b2-4ac

=(-1)2-4×1×(-1)=5.

[解析] 当b2-4ac>0时,一元二次方程有两个不相等的实数根

例3 用公式法解方程:

3x2+7x+5=0.

解 ∵a=3,b=7,c=5,

∴b2-4ac=72-4×3×5

=49-60=-11<0.

∴方程无实数根.

[解析] 当b2-4ac<0时,一元二次方程无实根.

例4 关于x的一元二次方程x2+(2k+1)x+k-1=0根的情况是( ).

A.有两个不相等实数根

B.有两个相等实数根

C.没有实数根

D.根的情况无法判定

答 A.

[解析] ∵b2-4ac=(2k+1)2-4(k1)=4k2+5>0,从而这个方程有两个不相等的实数根,选A.

随便看

 

离鸟网收录3541549条中英文词条,其功能与新华字典、现代汉语词典、牛津高阶英汉词典等各类中英文词典类似,基本涵盖了全部常用中英文字词句的读音、释义及用法,是语言学习和写作的有利工具。

 

Copyright © 2004-2024 vtrois.com All Rights Reserved
更新时间:2026/4/6 21:35:59