网站首页  词典首页


请输入您要查询的字词:

 

字词 蛋白质
类别 中英文字词句释义及详细解析
释义

蛋白质dànbáizhì

一种主要由氨基酸构成的高分子有机化合物,是构成生物体活质的最重要部分,是生命的基础。种类很多,如球蛋白、血红蛋白和某些激素等。

蛋白质

骂人话,指人“笨蛋”“白痴”“神经质”。

蛋白质

笨蛋+白痴+神经质。

蛋白质dàn bái zhì

天然的高分子有机化合物。1878年《格致汇编·化学卫生论》:“若将肉骤加大热,肉之丝纹质因热立缩,则内汁至外层塞其微孔,令馀汁不再外流,而蛋白质亦因热而凝。”1909年钟观光《理科通证·动物篇·鸡》:“卵在卵巢中发生,无卵白与壳,只有卵黄球,为无色透明之细胞。至其发育,则渐变深黄色,脱离卵巢,由喇叭形管通入输卵管中而暂停之。斯时,有雄精逆上突入卵黄球中,合而受精,遂自管产下,经过蛋白腺傍受其蛋白质,以为卵白,又遇卵壳腺受其石灰质,为之卵壳,成完全鸡卵,排泄体外。”◇卵白质、蛋白、蛋白素、盶。

物质

物质

质(木~;铁~;卤~;蛋白~)
带有根本性质的物质或构成事物的基本成分:素(元~)
能使兽皮变柔软的物质:鞣料
蛋白质类物质:
有粘性的物质:胶(树~;阿~;牛皮~)
能促进生殖机能的一种物质:天癸
动植物生长所需的物质:养料 养分
供植物生长的物质:肥(肥料;化~;磷~;钾~;绿~;堆~;底~;追~) 粪
家畜的粪尿与草等混合沤成的肥料:圈肥 厩肥
经长期积累而沉淀下来的物质:积沉(知识~)
酿酒用的发酵物:曲(~菌;曲蘖;酒曲;大~;红~) 酴 麹(麹蘖) 酒药 酒母
覆在陶瓷表面的物质:釉(釉水;彩~) 锈水
护胎釉:陶衣
主要由油脂所组成的物质:蜡(~纸;地板~)
构成事物的主要物质:成分
(金钱、生活资料等:物质)

☚ 物质   物资 ☛

蛋白质proteins

以氨基酸为基本单位所构成的大分子多聚物。蛋白质是细胞原生质的重要组成成分,在生命活动中起关键作用。它决定了细胞中化学转变的类型,并在广泛范围内调节其它功能,如物质转运、机械支持、免疫防御和兴奋性,以及控制生长与分化过程。大多数蛋白质的元素组成相似,含碳50~55%,氢6~8%,氧20~23%,氮15~18%,硫0~4%。蛋白质分子具有4个结构层次,蛋白质的生理功能与分子的结构以及由此产生的变构效应密切有关。蛋白质分子的大小属于胶体质点范围,故蛋白质溶液具胶体性质。蛋白质分子能进行两性电离,介质pH值能影响其带电状况。高温、紫外线、酸、碱等物理、化学因素能改变蛋白质分子的空间结构而使之变性。
分类 蛋白质按其构成分为两类,即完全由氨基酸构成的简单蛋白质和尚有其他成分与之结合的结合蛋白质。简单蛋白质再以物理化学性质进一步分类,结合蛋白质则以其辅基成分进一步分类(表1,表2)。

表 1 简单蛋白质的分类

分 类溶 解 度实 例
清蛋白
(白蛋白)
球蛋白
可溶于水,被饱和硫
酸铵沉淀
可溶于稀氯化钠溶液
被半饱和硫酸铵沉淀
血清清蛋白,乳
清蛋白,卵清蛋白
血球蛋白,植物
种子球蛋白
组蛋白可溶于水,不溶于氨
小牛胸腺组蛋白
精蛋白
谷蛋白
可溶于水或氨水
不溶于水,溶于稀酸
或稀碱中
鱼精蛋白
米谷蛋白
醇溶谷蛋白不溶于水, 溶于70%
乙醇中
小麦醇溶谷蛋白,
玉米醇溶谷蛋白
硬蛋白不 溶胶原蛋白,角蛋白

结构 蛋白质分子计有四个结构层次。一级结构是指蛋白质的共价连接,即氨基酸顺序和二硫键位置。按X射线衍射图,肽键是刚性的并具有平面结构。肽键具部分双键的性质,组成肽的部分形成一个平面(酰胺平面)(图1)。由于O=C和C—N等原子所处的是刚性平面,不能沿轴自由旋转,而平面两侧的Cα2—N和C—Cα1键可自由旋转,多肽链可形成特定的构象。构象就是组成原子在此结构中的三维排列,它关系着分子的生物学功能。蛋白质的构象是由氨基酸顺序决定的,使其自由能最小,从而达到结构稳定的作用。二级结构指在线性顺序中近距离氨基酸残基的空间关系,包括α螺旋、β片状折叠和回折结构等。α螺旋为多肽链有规则的卷曲结构,侧链指向螺旋的外侧。稳定α螺旋的化学力为同一肽链主链NH和CO基团之间的氢键。每个氨基酸的CO基以氢键与其第4个氨基酸的NH基相结合,因而主链的NH和CO全部参与形成氢键。每个残基与第2个残基旋转100°,并沿螺旋轴转位1.5A。α螺旋的螺距为5.4Å,每周残基数为3.6。脯氨酸、连续两个缬氨酸和异亮氨酸以及连续两个离子化侧链的残基可阻断α螺旋。α螺旋易弯曲并富弹性。蛋白质中的α螺旋为右手螺旋。α螺旋含量因蛋白质而异; 肌红蛋白、血红蛋白中含量较高(图2)。另一种二级结构是β片状折叠,β片状折叠中多肽链伸展度大。相邻氨基酸的轴距为3.5Å。稳定β片状折叠的化学力为不同肽链的或同一肽链不同部分之间的NH和CO基团间的氢键。β片状折叠在重复出现侧链小的氨基酸时易于形成。β折叠可弯曲而无弹性。β片状折叠中相邻链的走向相同(平行β折叠)或相反(反平行β折叠)。丝蛋白是具有β折叠层结构的典型代表(图3)。回折结构为多肽链残基n的CO基团与残基n+3的NH以氢键相连,为球蛋白中的又一种二级结构,可使多肽链发生转折。回折结构多处于蛋白质表面,可使蛋白质呈紧凑的球形。在蛋白质中二级结构常呈现有规律的排列,如α螺旋与β折叠依次出现,这类结构称超二级结构。如αβαβαβ,称为Rossman折叠。超二级结构在多数蛋白质中存在,如乳酸脱氢酶。三级结构(图4)指线性顺序中远距离氨基酸残基通过折叠形成的空间结构。维系三级结构重要的化学力有氢键、范德华力、静电引力和疏水效应。三级结构对蛋白质生理功能至为重要,如鱼线粒体细胞色素C和细菌细胞色素C在氨基酸顺序中差别达60%,但X射线衍射结果表明二者空间结构相似,因而二者功能相似。四级结构指由两条或两条以上多肽链组成的蛋白质分子内亚基间的空间关系。维系四级结构重要的化学力与三级结构相同。四级结构与蛋白质生理功能关系密切,血红蛋白四级结构研究最为详尽。血红蛋白输氧的高效性是其四级结构及由此而产生的变构效应所产生的。血红蛋白α、β接触面上氨基酸残基的变化以及干扰正常变构效应的变化会导致血红蛋白分子病。另外,结构域(domain)是指蛋白质结构的紧凑球状单位。结构域常为10×103~20×103,大分子蛋白质的结构域之间常由多肽链易弯曲的区域相连接。结构域之间的接触面通常为酶的活性中心。

表2 结合蛋白质的分类

分 类辅 基 成 分
核蛋白类 
脱氧核糖核蛋白
核糖核蛋白
烟草花叶病毒
脱氧核糖核酸
核糖核酸
核糖核酸
脂蛋白类 
β1脂蛋白磷脂,胆固醇,中性脂
糖蛋白类 
γ-球蛋白
血清类粘蛋白
凝集素
己糖胺,半乳糖,甘露糖,唾液酸
半乳糖,甘露糖,N-乙酰神经氨酸
麦胚凝集素
磷蛋白类 
酪蛋白磷酸基(通过酯键与丝氨酸残基连接)
血红素蛋白类 
血红蛋白
细胞色素C
叶绿素蛋白
铁卟啉
铁卟啉
镁卟啉
黄素蛋白类 
琥珀酸脱氢酶
D-氨基酸氧化酶
黄素腺嘌呤二核苷酸
黄素腺嘌呤二核苷酸
金属蛋白类 
铁蛋白
细胞色素氧化酶
乙醇脱氢酶
黄嘌呤氧化酶
Fe(OH)3
Fe和Cu
Zn
Mo和Fe


图 1 肽平面图



图 2 α螺旋结构



图 3 β折叠结构



图 4 血红蛋白的三级结构


性质 蛋白质是大分子聚合物,分子量为6 000~1 000 000或更大。蛋白质为两性电解质,能与酸或碱发生作用。在蛋白质分子中,可解离基主要来自侧链的基团。蛋白质分子所带电荷的性质和数量是由蛋白质分子中可解离基的种类和数目以及溶液的pH值所决定的,蛋白质分子正负电荷相等时的pH即为该蛋白质的等电点(pI)。在pH小于pI 的溶液中,蛋白质分子作为阳离子向阴极移动,反之则作为阴离子向阳极移动。蛋白质的电场中泳动的现象,称为电泳。由于各蛋白质的pI不同,在一定pH值下电泳迁移率有别。电泳分析用于测定各个蛋白质的纯度以及复杂混合物的定量分析。蛋白质分子大小在胶体质点的范围内,由于蛋白质分子表面的水化层和双电层,蛋白质溶液保持稳定。蛋白质分子周围包以水分子成为溶胶,改变条件时,水分子可被蛋白质分子包围,成为凝胶。豆腐、奶酪等就是凝胶的实例。蛋白质溶液的稳定性与质点大小、电荷和水化有关。在蛋白质溶液中加入丙酮、乙醇等脱水剂以除去其水化膜,或者改变溶液的pH达到蛋白质的pI 以使质点失去相同电荷,或者加入电解质以中和质点的电荷,蛋白质分子即可聚合而产生沉淀。可用这一原理分离、提纯蛋白质。利用半透膜对胶体质点的不可透性,可将蛋白溶液内低分子杂质与蛋白质分离开,从而得到较为纯净的蛋白质,此方法称为透析法。蛋白质分子受外界物理因素(如热、紫外光照射、高压)或化学因素(如有机溶液、脲、酸、碱)的影响,分子的空间结构改变或破坏,引起物理化学性质或生物学性质的改变,被称为蛋白质的变性作用。蛋白质的变性不涉及一级结构的改变。变性的深度不一,变性的可逆程度也不相同。蛋白质变性伴随有生物活性的丧失、某些侧链基团的暴露、溶解性降低、分子结构伸展、易为蛋白酶分解。利用蛋白质分子中某些氨基酸的颜色反应,可以检测蛋白质,进行蛋白质的定性、定量分析。凡具有两个或两个以上肽键结构的化合物都有双缩脲反应,在碱性溶液中能与硫酸铜反应呈红色或紫蓝色。
蛋白质

蛋白质

蛋白质分子一般是由几百个甚至上千个氨基酸分子组成的。组成人体蛋白质的分子有20多种。由于氨基酸分子的种类、数目及各种氨基酸排列的顺序不同,人体有多种蛋白质分子。人体的每个细胞和各种组织都有蛋白质存在。生长、增殖、消化、分泌和运动都与蛋白质有密切的关系,例如红细胞中的血红蛋白运输氧气和二氧化碳;各种食物的消化酶(都是蛋白质类)可促进食物的消化分解;血浆白蛋白是全身各种细胞的营养物质;广泛分布在人体各种细胞内的核蛋白与生长、遗传和蛋白质合成均有密切关系;以及许多蛋白质类激素参与调节血糖水平、血钙水平及生长发育等重要功能。可以说,凡是有生命的物质,就包含有蛋白质。因而,蛋白质是生命活动的基础,也是生物体的重要组成物质。

☚ 脂类   水 ☛

蛋白质protein

不同氨基酸以肽键相连所组成的具有一定空间结构的生物大分子物质。存在于一切生物体内,天然蛋白质由20种不同的L-氨基酸所组成。含氮量通常较恒定,平均为16%。分子质量大小不一,一般在6×103 u~1×106 u之间。种类繁多,在生物体内分别承担不同的生物学功能,如催化不同化学反应的酶类、具有免疫功能的抗体、承担运输不同物质的载体蛋白和调节代谢反应的某些激素等。是生命活动的物质基础。按其化学组成的复杂程度可分为简单蛋白质和复杂蛋白质。简单蛋白质组成中仅含有氨基酸,复杂蛋白质中除含有氨基酸外,还含有糖、脂、核酸、磷酸和色素等。按分子形状可分为纤维状蛋白和球状蛋白。各种蛋白质中氨基酸的组成、排列顺序和肽链的立体结构都不相同。1965年,中国首先人工合成了具有生物活性的蛋白质——牛胰岛素。蛋白质不仅是食物营养的重要成分,在食品和医药方面占有极重要的地位,而且也是轻工业的重要原料,如动物的毛和蚕丝是重要的纺织原料,动物的皮经鞣制后可加工成各种皮革制品等。

蛋白质

由多种氨基酸构成的大分子多聚物。含碳50%~55%,含氢6%~8%,含氧20%~23%,含氮15%~18%,含硫0%~4%。蛋白质分子具有4个结构层次。分简单蛋白质和结合蛋白质2大类。蛋白质的分子量一般为6000~1000000。1965年中国首先人工合成具有生物活性的蛋白质——胰岛素。

蛋白质

蛋白质danbaizhi

蛋白质的基本构造是许多氨基酸单位通过肽键结合而成的长链叫做多肽链。有的蛋白质只含有一条多肽链(单链蛋白质);有的蛋白质含有2条或更多条多肽链(寡聚蛋白质),其中的每条肽链叫做一个亚基。从化学组成上看,有些蛋白质单纯由氨基酸组成(简单蛋白质);另一些蛋白质则还含有一些非蛋白组分(辅基),称作结合蛋白质。简单蛋白质又可根据溶解度的不同分成白蛋白(或清蛋白)、球蛋白、谷蛋白、醇溶谷蛋白、精蛋白、组蛋白、硬蛋白等亚类。如白蛋白溶于水,球蛋白微溶于水而溶于稀盐溶液。结合蛋白质则根据辅基的不同分为脂蛋白(含脂类)、糖蛋白(含糖类)、磷蛋白(含磷酸基)、血红素蛋白(含血红素)、黄素蛋白(含核黄素)、金属蛋白(含铁、锌等)和核蛋白(含核酸)等亚类。从分子外形看,有的蛋白质的多肽长链盘曲缠绕成球形或椭球形称球状蛋白质;也有的蛋白质的长肽链伸展成纤维状称纤维状蛋白质,如胶原、丝心蛋白等结构性蛋白质不溶于水,为纤维状蛋白质;其他具有生物功能的酶、激素、免疫球蛋白等多为球状蛋白质,可溶于水。蛋白质是细胞内最丰富的生物大分子,占多数生物体干重的一半以上。蛋白质具有多种功能,凡乎任何生物过程都与蛋白质发生某种联系。除上面提到的有催化作用的酶、有调节代谢作用的蛋白质类激素、有防御作用的免疫球蛋白和有机械支撑作用的胶原外,还可举出很多。如骨骼肌中的肌动蛋白和肌球蛋白在肌肉收缩系统中起作用,血红蛋白运输红血球中的氧,肌红蛋白贮存肌肉中的氧,植物种子贮存胚芽生长需要的蛋白质等。卵中的卵白蛋白、乳中的酪蛋白和动物组织中的铁蛋白也是贮存蛋白质。蛋白质由氨基酸组成,但并不是氨基酸随机聚合而成的聚合物。蛋白质有固定的组成和分子量,其多肽链内的各种氨基酸按特定的顺序排列(氨基酸序列),而且多肽链还盘绕折叠形成一定的空间结构。一般用4个层次描述蛋白质的分子结构。一级结构主要指多肽链中氨基酸的序列。1953年,英国的弗·桑格(F·Sanger)首先测定了胰岛素(一种激素)的氨基酸序列,共有51个氨基酸单位。迄今已有数百种不同生物蛋白质的氨基酸序列已测知。维持一级结构的化学键是肽键(共价键)。蛋白质的空间结构,也即三维构象,指的是多肽链中的一切原子,由于单键的旋转而产生的不同空间排布,这种空间排布的变化,一般不涉及共价健的生成与断裂。在理论上,由于多肽链的肽键是单键,它可以有无限的可能构象。经过深入研究,发现肽键是一种“平面”结构,即肽键中的C-N键与其周围的4个原子处在同一个平面上。这就使肽键两边的单键的旋转受到限制。现在已知,在生物正常的温度和pH条件下,一种蛋白质的多肽链只有一个(或非常少的)构象,这就是具有生物活性的天然构象。天然构象相当稳定,因此能将蛋白质分离出来并保持其天然状态。蛋白质的空间结构可用二级结构、三级结构和四级结构3个层次来描述。二级结构是指多肽链主链骨架盘曲或折叠的情况,不涉及氨基酸残基侧链的构象,有多种形式,其中以α-螺旋和β-折叠最重要。在α-螺旋中,多肽链的主链是向右旋转的螺旋形,螺旋的每一转含3.6个氨基酸残基,沿分子长轴的距离(螺距)约为0.54纳米(nm)。螺旋借在空间靠近的肽键间形成的氢键维系。头发和羊毛中的角蛋白(一种纤维状蛋白质)的基本结构是α-螺旋,α-螺旋再互相缠绕形成绳状。可溶的球状蛋白质中也往往有α-螺旋结构区,如血红蛋白。β-折叠结构的特征是用肽链间的氢键连接并列的、具有伸展状态的肽链片段。蚕丝的丝心蛋白(纤维状蛋白质)的基本结构是β-折叠,许多β-折叠结构再堆积起来形成多层结构。β-折叠层是丝织品众多良好性能的结构基础。在可溶的球状蛋白质中,也发现有β-折叠结构区。三级结构是指多肽链在二级结构的基础上再盘旋折叠所形成的、特定的、极不规则的球形构象。对于单链蛋白质,三级结构即所有原子的空间排布;对于寡聚蛋白质,则指的是每个亚基的空间结构,三级结构的概念只适用于球状(可溶性)蛋白质。维系蛋白质三级结构的力是氨基酸残基侧链间的各种相互作用,如氢键、疏水相互作用,正负离子间的相互吸引等。四级结构就是寡聚蛋白质的亚基结构,维系四级结构的力是亚基间的非共价作用。亚基是具有三级结构的独立结构单位,可以分离,但一般地说不是一个独立的功能单位。如血红蛋白有两条α链(各含141个氨基酸)、两条β链(各含146个氨基酸)和4个血红素辅基。血红蛋白有携氧的功能,而单个的α亚基或β亚基没有携氧功能。蛋白质分子在细胞内处于水的环境中,这使具有极性侧链的氨基酸残基,几乎全部分布在分子表面,而带有非极性侧链的氨基酸残基,则埋藏在分子内部,不与水接触。极性基团在分子表面的分布,使球状蛋白质可溶于水。从这种分布情况可以看出:蛋白质的氨基酸序列(一级结构)决定其空间结构。蛋白质的空间结构与其功能有密切的关系。如果空间结构遭到破坏(如变性时),其生物功能也会立即丧失。蛋白质分子通常带有电荷,因为除多肽链两端的α-氨基和α-羧基可以解离外,各氨基酸残基的侧链常带有可解离的酸性和碱性基团。蛋白质分子的带电情况,与其氨基酸组成和环境的pH有关。在某一pH环境中,如蛋白质所带的总正电荷恰好与总负电荷相等,这时溶液的pH值为该蛋白质的等电点(pI)。在pH>pl的溶液中,蛋白质为阴离子,在电场中向阳极移动;如pH肽键”、“多肽”条)。


图522 α-螺旋结构,虚线表示氢键。
右侧图为α-螺旋的简图,其中未表示R基



图523 β-折叠结构,虚线表示氢键。
左侧图为β-折叠结构的简图,其中未表示R基

肽键”、“多肽”条)。>

☚ 磷酸肌酸   多肽 ☛

蛋白质

蛋白质danbaizhi

由α-氨基酸结合而成的天然高分子化合物,相对分子质量为6×103~106,是主要的生命基础物质之一。蛋白质分子中氨基酸残基之间以肽键相连接,也可以说蛋白质是氨基酸为单体的高聚酰胺。蛋白质种类繁多,水解最终产物只有α-氨基酸的称为单纯蛋白质。单纯蛋白质与非蛋白质的结合物叫结合蛋白质,如脂蛋白、糖蛋白、血红蛋白等。单纯蛋白质分为不溶于水的纤维蛋白 (如毛发、丝、爪甲等)和可溶于水的球蛋白 (如血清蛋白、酶等)。
蛋白质分子中,氨基酸残基在肽链上的次序称一级结构。肽链上不直接相连的氨基酸残基间以氢键相互结合,形成α-螺旋、β-折叠等有规则的构象称二级结构。由于氨基酸残基上侧链间的疏水键、二硫键等,肽链发生进一步的盘旋和折叠,称为三级结构。不同肽链 (亚基) 相互结合,构成四级结构。
蛋白质相对分子质量大,溶于水后的分散系有胶体特征,蛋白质颗粒外形成一层水膜,并常带有一定电荷,使蛋白质颗粒相互排斥,因此蛋白质溶液比较稳定。若加入高浓度氯化钠、硫酸钠、硫酸铵等盐类,可以中和蛋白质分子表面的电荷,并破坏水膜,使蛋白质沉淀,叫做盐析作用,盐析作用一般是可逆的,沉淀时,蛋白质分子的结构与生物活性不变,仍可重新溶于水中。
蛋白质分子受到某些物理因素 (如加热、高压、超声波、紫外线、X射线、剧烈振荡等)和化学因素 (如强酸、强碱、重金属盐、有机溶剂、尿素等)的影响,二级、三级、四级结构发生变化,从而失去生物活性,并发生物理性质与化学性质的变化,叫做变性。如,鸡蛋白水溶液中加入硝酸铅、硫酸铜、硝酸汞等重金属盐溶液,立即出现沉淀。煮鸡蛋与高温杀菌消毒也是蛋白质变性的例子。变性有可逆变性和不可逆变性两种,尿素引起的变性是可逆变性,当除去变性因素后,蛋白质分子的高级结构可以恢复原状; 加热、重金属盐引起的变性是不可逆变性,如煮熟的鸡蛋放冷后不可能再恢复原状。
蛋白质溶液可以与茚三酮显紫色; 与铜盐在碱性介质下产生红紫色物质 (双缩脲反应); 与浓硝酸共热产生黄色沉淀(参见“蛋白质的显色反应”)。
蛋白质分子中有未形成酰胺键的氨基与羧基,具有两性,有等电点。

☚ 肽   酶 ☛
蛋白质

蛋白质danbaizhi

一种非常重要的营养素,是人体氮的唯一来源,也是构成人体的基本成分。1839年,荷兰化学家马尔德发现一类结构复杂、性质独特的物质,首先提出“蛋白质”一词,原意是“第一”、“首要”的意思。恩格斯早在19世纪70年代就指出:“生命是蛋白质的存在方式”。现代生物科学进一步证明,蛋白质和核酸等高分子化合物所组成的复合体系,是生命的重要物质基础。可见,有生命就必定有蛋白质,没有蛋白质就没有生命。蛋白质是由许多氨基酸组成的高分子化合物,其分子中含有碳、氢、氧和氮,还可能有硫和磷。另两种重要营养素,碳水化合物和脂肪,仅含有碳、氢和氧,并不含氮。因此,蛋白质是人体氮的唯一来源。蛋白质由20余种氨基酸,按不同数量和顺序千变万化组合而成,使人体中的蛋白质达到10万种以上。小的蛋白质分子由几十到上百个氨基酸组成,大的则由几万个氨基酸组成。它们的结构、功能各异,形成生命的多样性和复杂性。食物中的蛋白质,在胃肠道被消化分解成氨基酸,氨基酸被吸收到血液中,然后再合成人体特有的蛋白质。食物蛋白质的分解主要靠各种消化酶的水解作用来完成,如胃液中的胃蛋白酶,小肠液中的胰蛋白酶、糜蛋白酶、肽酶等,都是重要的消化酶。

☚ 基础代谢   蛋白质的生理功能 ☛

蛋白质protein

系由氨基酸组成的一种高分子有机化合物。其分子量1万至数千万,为两性电解质,可溶于水并形成稳定的高分子水溶液。蛋白质在酸(碱)溶液中或热水中可发生沉淀,在某些理化因素作用下发生变性,受某些酸、碱、酶的作用可水解成䏡、胨、肽等。蛋白质种类很多,分类方法亦很多,医学上分为单纯蛋白质和结合蛋白质。单纯蛋白质有清蛋白类、球蛋白类、谷蛋白类、醇溶蛋白类、组蛋白类、精蛋白类、硬蛋白类;结合蛋白类、有核蛋白类、糖蛋白类、脂蛋白类、磷蛋白类、色蛋白类。蛋白质是生命的重要物质基础、是构成人体的重要成分、是维持人体新陈代谢的重要营养物质。人体细胞、组织、器官、系统均有蛋白质参与而构成;人体酶类、激素等亦均由蛋白质参与而构成;各器官与系统的功能活动实际均为蛋白质作用的各种特殊表现,生命现象离不开蛋白质,如缺少蛋白质或蛋白质代谢障碍则机体有各种不同的异常表现。

蛋白质

蛋白质Danbaizhi

由氨基酸结合而成的天然高分子化合物,是主要生命基础物质之一。分子量为6×103—106,具有复杂的多级结构和多种特殊生理功能。蛋白质水解的最终产物为氨基酸。在蛋白质水溶液中,加入高浓度的氯化钠等盐类,可以使蛋白质沉淀,称为盐析作用。盐析作用是可逆的,蛋白质的活性不变,可重新溶于水中。蛋白质受到紫外线、加热等物理作用和强酸、强碱、重金属盐等化学作用时,结构和性质发生变化叫变性,变性一般是不可逆的,例如煮鸡蛋过程中,蛋白质受热变性,凝结为固体并失去生理活性。

☚ 氨基酸   核酸 ☛

蛋白质

蛋白质Danbaizhi

是由多种氨基酸结合而成的长链状高分子化合物。它是构成机体组织细胞的重要成分之一,约占细胞固体成分的80%以上。人体的各种组织、器官,如肌肉、血液、脑、骨胳、头发、牙齿等都有蛋白质参与组成。此外,细胞的新陈代谢,组织的修复、更新、各种生理功能的调节和维持都依赖蛋白质。它还是供给热能的三大营养素之一。所以,当蛋白质供应不足时,儿童少年就会出现生长发育迟缓、身体消瘦、精神萎靡不振、肌肉萎缩、贫血、抵抗力下降等各种营养缺乏症。机体维持体内蛋白质平衡的状态称为氮平衡,即摄入机体的氮量与排出的氮量相等。当摄入量大于排出量时,叫正氮平衡;如果摄入量小于排出量时,则叫负氮平衡。正常成年人要求保持氮平衡;在患有消耗性疾病时,由于大量组织细胞遭到破坏,机体氮的排出量超过摄入量,出现负氮平衡;儿童少年正处在生长发育旺盛期,摄入蛋白质的量大于排出量,出现正氮平衡。
中国医学科学院调查证明,成年人每天每公斤体重供给1—1.5克蛋白质,其中三分之一为动物性蛋白质,就足以保证人体氮的平衡。但儿童对蛋白质无论是数量还是质量都比成人要求高(见表)。儿童少年每日进食动物性蛋白质的量最好占三分之一到二分之一。


儿童少年蛋白质需要量

年 龄
(岁)
每日每公斤体重需
蛋白质量 (克)
每日膳食中蛋白质
的供给量 (克)
4—62.540—50
7—10260
11—131.570

从事体育锻炼时,蛋白质的需要量增加。有人对我国运动员的营养调查发现,每天每公斤体重需要2克蛋白质,并且主食和副食应各占50%。儿童少年从事体育锻炼时,应根据年龄和所从事的运动项目及运动量来确定蛋白质的供给量,一般每天每公斤体重为2.5—3克。
☚ 儿童少年的营养特点   糖 ☛

蛋白质

由多种L型氨基酸组成的高分子多肽。分子中由氨基酸的α-羧基和相邻氨基酸的α-氨基之间形成肽键相连接。分子量范围很广,结构复杂。是有功能特性的生物高聚物,是生物体内主要有机物质之一。是细胞结构中最重要成分。所有的酶其本质都是蛋白质;许多激素都是蛋白质;传递氧和电子的物质是含有金属卟啉辅基的结合蛋白;染色体是极其复杂的核蛋白(即与核酸结合的蛋白);病毒的本质也是核蛋白。由此可见,蛋白质在生命过程中起着主要的作用。其种类繁多,通常按它们的溶解度、功能特性、形状及组成的不同予以区分。


蛋白质

见“生物”中的“蛋白质”。

蛋白质

蛋白质

旧称“朊”。由多种氨基酸结合而成的高分子化合物,是生物体的主要组成物质之一。蛋白质是一切生命活动的基础,例如,具有催化作用的酶、具有免疫功能的抗体、起运输作用的血液蛋白、有运动功能的肌肉蛋白、构成生物膜的结构蛋白和某些具有调节功能的激素等都是蛋白质。各种蛋白质中氨基酸的组成、排列顺序和肽链的立体结构均不相同,其中有很多种蛋白质的氨基酸排列顺序和立体结构已被彻底弄清。1965年,我国首先人工合成具有生物活性的蛋白质——胰岛素。此后。另有一些蛋白质的人工合成也获得了初步成果。按蛋白质的分子形状可分为纤维状蛋白和球状蛋白;按其溶解度可分为白蛋白、球蛋白、醇溶蛋白和不溶的硬蛋白;按其组成可分为简单蛋白和复合蛋白。简单蛋白除氨基酸外不含有其它物质;复合蛋白则由简单蛋白和其它物质结合而成。按复合蛋白含其它物质的不同可分为磷(酸)蛋白、糖蛋白、脂蛋白、色素蛋白、核(酸)蛋白等。蛋白质是食物营养的重要成分。含有全部必需氨基酸的蛋白质称为“完全蛋白质”,如酪蛋白、卵白蛋白、大豆球蛋白等;组成中缺少一种或几种必需氨基酸的蛋白质称为“不完全蛋白质”,如白明胶等,用它做唯一的蛋白质食料会引起营养缺乏症。生物体分泌的蛋白质,如蚕丝等,以及在生物体中起保护和连结作用的蛋白质,如毛、角、筋、皮等,是重要的工业原料。

☚ 肥胖   蛋白质的生理功能 ☛

蛋白质

由多种氨基酸结合而成的高分子化合物。是生物体的主要组成物质,是生命活动的基础。

蛋白质protein

是由L-氨基酸聚合而成的大分子化合物,是生物体内最重要的组成成分。由于蛋白质所含的氨基酸种类、数量和排列不同而种类甚多,估计人体内的蛋白质约有10万种之多。

蛋白质

蛋白质

生物体的重要组成成分之一。它存在于一切生物体内,是生物体的一种重要组成物质。蛋白质的种类繁多,分别承担不同的生物学功能,是生命活动的物质基础。如具有催化作用的酶、具有免疫功能的抗体、起运输作用的血液蛋白、有运动功能的肌肉蛋白、组成生物膜的结构蛋白、调节代谢的某些激素都是蛋白质。构成蛋白质的基本单位是氨基酸,氨基酸以特定的排列顺序缩合而形成的多肽链构成蛋白质的初级结构,这些多肽链再进一步盘曲而形成蛋白质的高级结构(空间结构)。蛋白质可以分为简单蛋白质和复合蛋白质。简单蛋白质仅含有氨基酸,复合蛋白质是由简单蛋白质与其他物质结合而成,如糖蛋白、脂蛋白、核蛋白等。1965年我国首先人工全合成具有生物活性的蛋白质——胰岛素。此后,另有一些蛋白质的人工合成亦获得了初步结果,在人类认识生命奥秘的伟大历程中迈进了一大步。

☚ 生物钟   酶 ☛
蛋白质

蛋白质

蛋白质是生物界普遍存在的一类重要高分子化合物,是细胞的主要成分之一。组成蛋白质的主要元素有碳、氢、氧、氮; 有些蛋白质还含有其它一些元素,如硫、磷铁、锌和铜等。各种蛋白质的含氮量比较恒定,约为16%(14~18%),这一特点可作为用定氮法测定蛋白质含量的计算依据。蛋白质的基本组成单位是L-α氨基酸。构成蛋白质常见的氨基酸约有20种。有些蛋白质完全由氨基酸构成,称为简单蛋白质,如卵清蛋白、胰岛素等。另有一些蛋白质除含有氨基酸成分外,还与非蛋白质辅基结合称为结合蛋白质,如核蛋白、糖蛋白、脂蛋白、色蛋白等。蛋白质分子中各种氨基酸以一定排列顺序通过肽键互相连接形成多肽链,称为蛋白质的一级结构,这肽链盘旋成螺旋状态称为二级结构,这螺旋状的长链又折叠成一定空间构象称为三级结构。两个以上这种三级结构的多肽结合起来构成一个四级结构的蛋白质。

一些蛋白质的分子量

蛋白质分子量
细胞色素C
核糖核酸酶
肌红蛋白(马)
生长激素(人)
羧基肽酶
胃蛋白酶
卵清蛋白(鸡)
血红蛋白(马)
血清清蛋白(人)
血清γ球蛋白
过氧化氢酶
血纤维蛋白原
脲 酶
甲状腺球蛋白
血蓝蛋白(章鱼)
13 000
14 000
17 000
21 500
34 000
35 500
40 000
65 000
66 500
160 000
250 000
330 000
480 000
660 000
2 800 000

(引自E.L Smith et al Principles of Biochem. 1983P.43
各种蛋白质的分子量大小不一,小则5000~6000,大到数百万或上千万(见表)。蛋白质大分子的溶液往往具有与胶体相类似的性质,但它却是真溶液。因为蛋白质是由氨基酸组成,而氨基酸是两性电解质,所以蛋白质也具有两性电解质性质及等电点。用酸、碱或酶水解蛋白质,可得到小肽或氨基酸。
蛋白质分子结构复杂,种类繁多。不同结构的蛋白质具有不同生物学功能。蛋白质最重要的生物学功能之一是作为一切生物体结构成分,另外有许多蛋白质是生物新陈代谢的催化剂——酶。此外,蛋白质还参与各种生命活动的过程,如呼吸作用、肌肉运动、物质转运、激素调节、免疫功能及遗传信息的表达与调控等。蛋白质功能的广泛性与其结构的多样性是密切相关的,一定的蛋白质结构决定它有一定的功能,若改变其结构即可影响其生物学功能。
蛋白质种类繁多,分类方法也不相同,如:
❶根据其溶解度不同而分为清蛋白、球蛋白、硬蛋白等;
❷根据其功用不同而分为酶、转运蛋白、收缩蛋白、结构蛋白、激素蛋白、抗体蛋白等;
❸根据其分子形状不同而分为纤维状蛋白、球状蛋白等;
❹根据其组成成分不同而分为单纯蛋白质与结合蛋白质等。
蛋白质和多肽的基本结构相同,均系氨基酸通过肽键连结而成,所不同的是前者分子量大更为复杂,后者分子量小比较简单。关于蛋白质与多肽的区别,尚无明确界限。一般认为: 蛋白质具有特定的构象,这又与其特异的生物学功能有密切关系; 多肽虽也有构象,但在溶液中其构象的能动性很大,有时甚至在几种构象之间变换,它的构象可能在发挥作用时才显示出来,故可以直接将一级结构与生物学活性联系起来。目前公认的多肽,一般只含有20几个氨基酸残基。
☚ 谷氨酰胺及其代谢   结合蛋白质 ☛

蛋白质

蛋白质

蛋白质是一类由多种不同氨基酸聚合而成的高分子化合物。分子量从数千至数十万,是细胞中含量最多的有机分子,约占细胞干重的50%以上。其化学组成基本上含碳、氢、氧、氮四种元素,但硫也是绝大多数蛋白质的组分之一,少数蛋白质还含磷、铁、锌、铜等其他元素。细胞中蛋白质的种类很多,性质各异,每种都有特殊的生物功能。它们决定细胞的形态结构、催化新陈代谢的全部化学反应,在分子识别、动物行为和记忆等活动中的作用更为重要。生物通过蛋白质的合成表达编码于核酸分子中的各种遗传信息,体现个体间的差异、物种特征和生物进化发展中的多样性。因此蛋白质是细胞中非常重要的生物大分子,它们与核酸共同组成生命活动的物质基础。
蛋白质的结构单位 组成蛋白质的基本结构单位为氨基酸。在蛋白质分子中最常见的氨基酸残基共20种(表)。

20种氨基酸及缩写符号


*人体不能合成的氨基酸,是组织正常生长和活动不可缺少的必需氨基酸,必须从食物中提供。
典型的蛋白质分子大约含300—400个氨基酸残基,分子量约为4 000—5 000。氨基酸为一类在α-碳原子上含有氨基的有机酸,其通式为:


R为α-碳原子上的侧链基团。除甘氨酸的R基团为H原子外,全部氨基酸的R基团或为羟基 (-OH)、羧基(-COOH)、巯基(-SH)、氨基(-NH2),或为烃基(-CH2)、(—CH=)不等。R基团的性质决定氨基酸的性质,蛋白质分子中氨基酸的种类、数目及其分布又决定蛋白质的类型、结构和功能。在20种氨基酸中因R基团的不同可分为非极性和极性两大类。非极性氨基酸R基团在溶液中呈中性,难解离,为疏水性;极性氨基酸在溶液中易解离,其中又因R基团所带电荷不同而分为:
❶极性无电荷氨基酸;
❷带正电荷的碱性氨基酸;
❸带负电荷的酸性氨基酸(表)。此外尚有少数罕见氨基酸,如β-丙氨酸和γ-氨基丁酸(脑组织中发现)。鸟氨酸和瓜氨酸为氨基酸代谢的中间产物,其他如二碘酪氨酸、甲状腺羟脯氨酸、羟赖氨酸等均为氨基酸的衍生物。
除甘氨酸外,全部氨基酸的α-碳原子与四个不同的基团相接,因而不具对称性,可形成左旋(L-型)和右旋(D-型)两种光学异构体,一般蛋白质所含的氨基酸均为L-型。但有少数D-型氨基酸,如D-谷氨酸在许多细胞的细胞壁中也有发现。
氨基酸的性质:氨基酸分子兼有氨基和羧基,于水溶液中离解为-NH+3和-COO-两种离子。在酸性较强的溶液中,羧基解离受抑制,氨基酸带正电荷; 在碱性较强的溶液中,氨基解离受抑制,氨基酸带负电荷。在一定的pH下氨基酸正、负离子解离的趋势相等,溶液呈中性,该pH值称等电点。这种兼性离子特性使蛋白质在体液的缓冲系统中起重要作用。


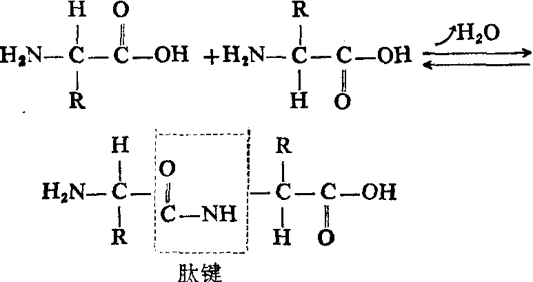
肽键和多肽 氨基酸分子之间的α-羧基与α-氨基脱水缩合形成的共价键(-CO—NH—)称肽键。


两个分子氨基酸缩合的产物称二肽。以肽键连接的多个氨基酸称多肽。多肽的主链为重复的—CO—NH—CH—,多肽的两端仍具自由的氨基和羧基。书写时通常以左侧表示氨基末端,称N-末端,以右侧表示羧基末端,称C-末端。各氨基酸残基α碳原子上的侧链(-R)的性质和相对比例在很大程度上决定着多肽的化学性质。蛋白质由一条或多条庞大的多肽链组成,因此,根据各种氨基酸残基的数目和排列顺序构成大量不同类型的蛋白质。据估计生物界不同类型的蛋白质总数约1010—1012种,假定20种氨基酸在多肽链中各出现一次,那么,可能出现的排列方式将有2020种之多,若再加上每种氨基酸在多肽链中的重复出现,蛋白质的数目将更惊人。
除构成蛋白质的多肽外,还有具特殊生理功能的各种小分子肽,如下丘脑分泌的促甲状腺释放激素即为一种三肽,有促进脑垂体合成和释放促甲状腺素的功能。另外,广泛存在于细胞中的谷胱甘肽也是一种三肽,是某种酶催化反应的辅助因素。血管舒缓激肽是一种九肽,有降低平滑肌张力的作用。
蛋白质的构象 构象是指组成分子的原子基团围绕共价键旋转而形成的不同空间排布(三维空间形状)。多肽链中有许多共价单键,原子基团围绕它们自由旋转,理论上能够自发地形成大量不同构象,但实际上每种蛋白质仅有一种构象,其主要原因在于多肽链中侧链基团之间以及与水分子之间形成非共价键,使之不能作自由旋转。所以蛋白质的构象决定于分子本身氨基酸残基的顺序和排布。构象的改变不包括化学键的断裂,也不改变手型。
通过X射线衍射技术,目前已经完成200余种蛋白质结构的分析。每种蛋白质都有特殊的构象,但在这些大分子中往往有共同的重复出现的折叠,使分子呈现有规律的螺旋或片层状稳定构象。它们是由多肽链分子内部位置相近的氨基酸残基之间互相结成氢键而形成的。
α-螺旋结构 多肽链主链呈螺旋式卷曲,每隔3.6个氨基酸残基卷曲一圈,组成右手螺旋体,简称α-螺旋。这种构象是由肽链中每一螺旋中的羰基一螺旋中的亚氨基结成氢键而产生的。氢键的走向与α-螺旋体的长轴平行,各氨基酸残基的侧链伸向螺旋的外侧(图1)。
α-螺旋的形成受多肽链中侧链基团的大小和性质的影响,例如多聚异亮氨酸侧链较大,造成定向障碍,使α-螺旋的规律性受阻。又如多聚脯氨酸侧链与主链α-碳原子形成吡咯环,肽链不具亚氨基而不能形成氢键,多肽链中只要有脯氨酸(或羟脯氨酸),α—螺旋即被中断。β-折叠层结构 这种结构的模式是多肽链以走向相反但排列平行的方式在主链中邻近的羰基与亚氨基之间形成氢键,氢键与肽链的长轴垂直,分子基本上位于同一空间平面。由于肽链本身並未充分伸展,所以从主链的一个侧面观察,链呈连续的“Z”型折叠或呈锯齿状。每个氨基酸残基的侧链则伸向折叠层的上、下方,这种构象称为 β-折叠层(图2)。在球蛋白中肽链的走向包括逆行和顺行两种方式,氢键可在同一肽链的不同部分产生,也可在不同分子之间形成。如果多肽链中侧链基团过大,並带相同电荷,也影响β-折叠层的产生。β-折叠层是构成球状蛋白质的网架。


图1 多肽链和α-螺旋模型


图2 多肽链的β-折叠层模型


蛋白质结构的多样性 多肽链中各种不同氨基酸残基的顺序及其侧链基团的不同性质,赋予各种不同蛋白质独特的结构和功能。细胞间隙中的胶原蛋白是由三条多肽链构成,每条链都富含脯氨酸,而且在氨基酸残基序列中每第三位都是甘氨酸,三条链互相缠绕成规则的三股螺旋,构成一个胶原蛋白分子。相邻的分子以其赖氨酸残基间的共价键交联,聚合成纤丝,再继续聚合、包扎构成结缔组织中的胶原纤维。由于脯氨酸或羟脯氨酸分子含吡咯环,只有甘氨酸才能形成氢键,所以胶原蛋白中含脯氨酸越多,氢键越少。这种特殊的分子结构,使胶原蛋白无弹性而有较强的抗拉强度(图3)。胶原蛋白一旦形成便不再更新,随年龄的增长,可还原性的交联键逐渐减少,使蛋白质分子发生缓慢地渐进性变化,可视为生物学年龄指标之一。胶原蛋白老化而引起的疾病称胶原病,例如类风湿性关节炎的骨质变化,眼晶体的混浊(白内障),都与胶原蛋白的异常沉积或分子结构变化有关。
弹性蛋白也是一种存在于细胞以外的蛋白质,是由许多无定形的肽链以共价键相互交联而构成的网络结构,富弹性。每条肽链可分为两个区段:
❶近C—末端为富含丙氨酸和赖氨酸的区段,有赖氨酸在肽链之间可以发生交联作用。这一段肽链主要呈α-螺旋。
❷另一段为富含甘氨酸、脯氨酸和缬氨酸区段,有重复的四肽、五肽和六肽,已知四肽经β转向可形成较宽的螺旋,这一区段控制着蛋白质分子的伸展性。如受到张力时,分子可伸延,张力去除时又可恢复原状。例如肺组织和动脉可以改变形态,但组织不受损伤(图4)。


图3 胶原蛋白示意图


图4 弹性蛋白示意图


球蛋白的结构也是由多肽链折叠而成的。其侧链的极性基团和非极性基团的分布,是控制多肽链折叠的重要因素。许多疏水侧链向分子内部集中,以避免与水环境接触,而极性基团则伸向分子表面,有利于与水或其他极性基团结合,所以球蛋白有高度的表面活性,各种不同的酶、抗体、某些激素和许多有转运功能的蛋白质几乎全部为球状蛋白质(图5)。


图5 球蛋白示意图


蛋白质结构的层次
蛋白质一级结构 一级结构是指蛋白质分子中各种氨基酸残基按一定顺序排列构成的多肽链骨架。其内容有:
❶多肽链的数目;
❷每条多肽链中氨基酸的数目、种类和顺序;
❸链内二硫键的位置和数目;
❹链间二硫键的位置和数目。蛋白质的一级结构即蛋白质的共价结构(图6)。根据胰岛素的一级结构,中国于1965年首次成功地合成了具有生物活性的结晶牛胰岛素,为人工合成蛋白质做出了重要贡献。
某些遗传性疾病直接与蛋白质一级结构异常有关。例如人的血红蛋白含四条多肽链: 两条α-链,两条β-链。镰形细胞贫血症患者血红蛋白的一级结构,仅仅在β-链第六位的谷氨酸被缬氨酸所取代。谷氨酸为亲水氨基酸,缬氨酸为疏水氨基酸,这一改变使血红蛋白分子的溶解度下降,在氧分压低时,分子间易于聚合,沿一个轴形成聚合体,使细胞变成镰刀形,难以通过微循环,在肝和脾组织中易阻留。同时这种血细胞脆性增高,因而造成溶血性贫血。已证实是由于蛋白质的基因突变导致的后果,这类疾病又称为分子病。


图6 牛胰岛素一级结构


蛋白质二级结构 二级结构是指蛋白质分子主链借助于氢键盘绕为螺旋或折叠成片层结构。它不涉及侧链的构象以及其他肽段的关系。二级结构是纤维状蛋白质分子的基本结构。皮肤、毛发、蹄爪等结构中的角蛋白,构象主要是α-螺旋,蚕丝和昆虫的纤维蛋白构象全部为β-折叠层。二级结构是构成球状蛋白质骨架的基础。肌红蛋白分子75%为α-螺旋,其余为不规则卷曲,不具β-折叠层。伴刀豆球蛋白A的分子59%为β-折叠层,无α-螺旋。但大多球蛋白兼有两种折叠。
蛋白质三级结构 三级结构是指二级结构和非二级结构在空间中的进一步盘曲、折叠,即多肽链本身的氨基酸残基及其不同区段间的相互关系和全面排布,不涉及相邻分子和亚基之间的关系。凡具三级结构的蛋白质,其形状或为球形或为椭圆形,统称为球蛋白。
三级结构是蛋白质构象的主要层次。由二级结构进一步形成三级结构的过程中,二级结构在空间上靠近的区段相互作用,聚合成结构域(domain),每个结构域约含150个氨基酸残基,或在150个以下,可视为更小的球状结构单位。许多不同的结构域盘曲、折叠构成较大的球蛋白,即蛋白质的三级结构。球蛋白也作为某些蛋白质聚合体的亚基(图7)。


图7 蛋白质结构层次示意图


稳定蛋白质三级结构的键:
❶氢键:是指分子中氢原子与负电性较强的氧原子之间相互吸引而形成的非共价键,是一弱键,易断裂。
❷离子键:肽链侧链基团解离的阴离子和阳离子相互吸引形成的键,也称盐键。多分布在分子表面,亲水性强,使蛋白质分子易溶于水。对于维持蛋白质的空间结构作用较小。
❸疏水键:又称非极性键,由蛋白质侧链上非极性基团相互吸引而形成的键。这些基团在蛋白质分子中有向内部聚集以脱离表面水溶液的性质,是稳定三级结构重要的键。
❹二硫键: 是指蛋白质分子中两个巯基(—SH)之间氧化生成的共价键 (—S—S—)。这种键结合牢固,对维持蛋白质分子空间结构有重要作用。在物质的聚集态中,分子与分子之间有一种较弱的吸引力,称范氏引力。
蛋白质四级结构 四级结构是指蛋白质分子中两条或多条多肽链之间以一定方式聚合而成的空间结构。每条多肽链作为一个亚基,以其表面的氢键、静电吸引、盐键等维持结构的稳定。亚基之间无共价键,各亚基单独存在多无生物活性。构成蛋白质的亚基有的相同,有的不同,因不同的蛋白质而异。例如过氧化氢酶含四个相同的亚基,血红蛋白则含两条α-链和两条β-链,免疫球蛋白含两条重链(H)链和两条轻链(L)链。各种亚基之间以非共价键联合,组成超分子结构——聚合体的过程也称为组装。例如酶复合体、核糖体、蛋白质纤丝、病毒和膜等都是蛋白质组装的产物。两个亚基在同一结合部位互补,可形成二聚体。二聚体又常作为亚基建造更大的聚合结构。许多亚基可连成链状或环状多聚体。
由球状肌动蛋白分子组装的肌动蛋白纤丝即属此例。蛋白质各亚基之间以六角形排列也可组成平面的多聚体,特异的膜运输蛋白质有时即以这种方式位于脂质双层中。各亚基在几何学上稍有变化,平面的多聚体则可卷成筒状或管状。某些病毒的蛋白质外壳即筒状多聚体。环状、管状或球状等封闭的聚合体结构,使蛋白质各亚基之间键的数目有所增加,可加强结构的稳定性,如病毒外壳蛋白兼有保护内部核酸分子的作用。
另一种更为复杂的大分子聚合体为细菌的核糖体,它们包括55种不同的氨基酸和3种RNA分子。假如将这些单独的成分在适当条件下共同培育,可组装成原来的结构,並具有进行蛋白质合成的功能。
蛋白质的组装与细胞各种生理功能的体现有极密切的关系。至于组装过程中如何精确调节目前尚不了解。
蛋白质的变性 某些物理、化学因素(如高温、强酸、强碱、射线等)破坏蛋白质多肽链的天然折叠而失去其原有理化性质以及生物学活性的变化,称为蛋白质变性。绝大多数蛋白质仅在一个很窄的温度、pH范围内保持生物学活性,如果超出这些范围,蛋白质的性质即受到影响。最明显的变化是溶解度下降,如果处理条件相对温和,多肽链中的共价链未裂解,一级结构保持完整,当去除引起变性的条件时,蛋白质仍可恢复原来的构象和活性,这种过程称为复性。例如核糖核酸酶用尿素及胍处理后,二硫键被还原,氢键断裂,肽链折叠不能保全,催化功能随之丧失。如果经过透析去除处理条件,巯基缓慢被氧化,恢复二硫键,氢键自动产生,多肽链又恢复到原来的折叠状态,酶的催化活性也随之复原。如果处理条件强烈,往往使变性后的蛋白质不能复性,加热处理蛋白质,当温度升高到60—70℃以上时,绝大多数球状蛋白质发生不可逆的变性,卵清蛋白加热后形成不溶解的凝块即属此例。同样,其他条件下只要破坏其天然构象到不可恢复的程度,其生物学功能也随之消失。
蛋白质的分类和功能 蛋白质种类非常多,每种蛋白质都有相应的生物学功能。由于蛋白质结构和功能的复杂性,目前尚无统一的分类标准。从化学组成上一般可将蛋白质分为两大类: 单纯蛋白质和结合蛋白质。前者经水解基本上仅产生氨基酸,后者水解后除产生氨基酸外,还含有机或无机成分,这些成分称为辅基。根据辅基的不同,结合蛋白质又可分为许多种,如核蛋白、糖蛋白、脂蛋白、磷蛋白以及金属蛋白等。按照蛋白质的结构形状可分为球状蛋白质和纤维状蛋白质。球状蛋白质为高度折叠盘绕的分子,溶于水,呈胶状,功能活跃,各种酶和某些有运输功能的蛋白质载体都是球状蛋白质。纤维状蛋白质则结构较坚韧,不溶于水,多作保护或支持结构。根据蛋白质的功能可将蛋白质分为以下几大类:
酶类 是蛋白质中最重要的一类,功能上有高度的特异性,催化有机体全部的化学反应(见“酶”条)。
贮存蛋白类 储存各种氨基酸,为发育提供营养,如卵中的卵清蛋白,乳汁中的酪蛋白,小麦种子中的麦醇溶解蛋白等。
运输蛋白类 具有转运功能,如血浆中的脂蛋白,在小肠、肝和脂肪组织之间转运脂类;脊椎动物红细胞中的血红蛋白,转运氧至组织细胞。
收缩蛋白类 是运动系统的基本成分。例如肌动蛋白为长丝状蛋白质,由许多球形的多肽纵行排列;肌球蛋白为长杆样分子的聚合体,由两股螺旋互相缠绕的多肽链组成,在肌组织中两者平行排列,收缩时互相滑行。
防御蛋白类 对机体有保护和防御功能。例如,凝血酶与纤维蛋白原参与的血液凝固作用,可防止失血。最主要的保护性蛋白质为免疫球蛋白(抗体),它们与侵入血液或组织的外源蛋白质相结合构成一套特异的抗原一抗体反应系统,可保护有机体免受损伤。
激素蛋白类 是一类对机体代谢、生长、发育有重要调节作用的蛋白质。如垂体前叶分泌的生长激素,促肾上腺皮质激素;甲状腺分泌的甲状腺素等。
结构蛋白类 是起支持和保护作用的一类蛋白质。例如细胞外的胶原纤维是结缔组织的主要组成部分,可保护细胞、组织的连续性。弹性结缔组织中的弹性蛋白,可使韧带具有弹性。
此外,在某些生物中还含有一些动物特殊的蛋白质,如蚕的丝心蛋白,硬化后为具有特殊抗张强度的蛋白纤维束,可以结成蚕茧,人类可用作纺织原料。
☚ 糖类   酶 ☛

蛋白质

protein


蛋白质

protein


蛋白质

albumin;protein

蛋白质

protein

随便看

 

离鸟网收录3541549条中英文词条,其功能与新华字典、现代汉语词典、牛津高阶英汉词典等各类中英文词典类似,基本涵盖了全部常用中英文字词句的读音、释义及用法,是语言学习和写作的有利工具。

 

Copyright © 2004-2024 vtrois.com All Rights Reserved
更新时间:2026/4/7 2:47:34